所屬科目:研究所、轉學考(插大)-微積分
1.求整數k使得極限L=存在且非零,則(k,L)=__(1)__。(8分)
2. 令f(x)=,則(f(-1),f'(-1))=__ (2)__ 。(8分)
4.令T(x)為在x=0的Taylor展開式。則T(x)=(4a))(必須寫出一般式) (4分),T(z)的收斂半徑為__(4b)__(4分), 利用T(x)的最前二個非零項估計1n3所得之近似值為__(4c)__(4分)。
5.計算 =__ (5)__ (8分)。
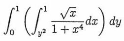
6.令D為2t+3y=0,2x+3y=2,3x十2y=3與3x+2=3所圍成的平行四邊形及其內部,計算=__ (6)__ (8分)。
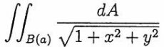
7.計算r=1+sinθ所圍成區域的面積= __(7a)__(4分),並計算二重積分 =(7b)(4分),此處 B(a)={(x,y):0≤x2+y2≤
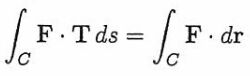
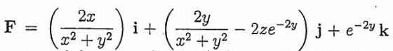
8.已知三維向量場k為保守場, 則其所有可能的potential function為__ (8a)__ (4分)。令參數曲線C: r(t)=ti+πcostj+πsintk,0≤ t≤,且T為C上的單位切向量,則線積分 =__ (8b)__ (4分)。
(a)令β>a>0。證明存在θ0=θ0(a,β)使得。
(b)利用上式證明收斂。
(c)令M>1。導出。
(d)證明皆收斂。