所屬科目:研究所、轉學考(插大)-微積分
(1) (7 points)
(2)(8 points)
(3) ∫cos(2θ)cos(3θ)dθ (7 points)
(4) (8 points)
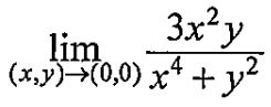
2. Evaluate or explain the limit does not exist. (10 points)
3. Find the interval of convergence for the series (10 points)
5. Find the absolute maxima and absolute minima of the function g(x,y)=x2+xy+y2-6x on the rectangular plate O≤x≤5,-3≤y≤3. (15 points)