阿摩線上測驗
登入
首頁
>
有機化學
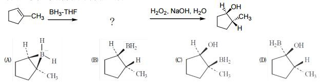
> 104年 - 104 普通考試_化學工程:有機化學概要#41848
104年 - 104 普通考試_化學工程:有機化學概要#41848
科目:
有機化學 |
年份:
104年 |
選擇題數:
25 |
申論題數:
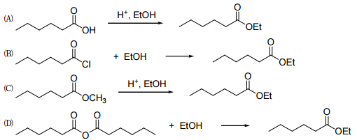
10
試卷資訊
所屬科目:
有機化學
選擇題 (25)
1 4-乙基-3,3,4-三甲基庚烷(4-ethyl-3,3,4-trimethylheptane)包含: (A)兩個四級碳 (B)兩個三級碳 (C)三個二級碳 (D)三個一級碳
2 下列那一個化合物的最穩定椅形構形(chair form)沒有軸向甲基(axial methyl group)? (A) 1,1-二甲基環己烷 (B)順式-1,2-二甲基環己烷 (C)反式-1,2-二甲基環己烷 (D)反式-1,3-甲基環己烷
3 下列反應第一步所形成的中間體為何?
4 請問下列反應的主要產物為何?
5 完成下列的反應最好試劑為何?
(A) H
2
O, H
2
SO
4
(B)(1) Hg(OAc)
2
, H
2
O (2) NaBH4
(C)(1) BH
3
(2) H
2
O
2
, NaOH
(D)(1) OsO
4
(2) NaHSO
3
6 下列何者結構最不穩定?
7 三氟化硼(BF
3
)是氣體,常儲存於下列何種溶劑,形成穩定的錯合物? (A)乙醚 (B)二氯甲烷 (C)甲苯 (D)環己烷
8 下列反應所需的試劑為何?
(A) Br
2
, 照光 (B) Br
2
, FeBr
3
(C) HBr (D) HBr, (CH
3
)
3
CO-OC(CH
3
)
3
9 下列何者進行親電性取代反應(electrophilic substitution reaction)時反應速率比苯慢,但取代反應發生在 鄰位和對位?
10 在親電性芳香族取代反應(electrophilic aromatic substitution reaction)中,親電性試劑(electrophile)必須 具有下列那一項性質? (A)中性物種 (B)碳陽離子 (C)路易斯酸(Lewis acid) (D)質子(proton)
11 下列那一個化合物和甲氧鈉 CH
3
ONa 反應速率最快?
12 下列何項人名反應常被使用於醛類化合物轉換為烯類化合物? (A)加伯利(Gabriel)反應 (B)威悌(Wittig)反應 (C)夫-夸(Friedel-Craft)反應 (D)山德邁耳(Sandmeyer)反應
13 下列那一組試劑組合的次序,可以將乙醛經一步驟轉換成丙胺酸?
(A)(1) NaCN, NH
3
(2) H
+
/ H
2
O
(B)(1) NH
3
(2) CO
2
(3) H
+
/ H
2
O
(C)(1) NaNH
2
(2) CO
2
(3) H
+
/ H
2
O
(D)(1) NaCN, H
2
O (2) CO
2
(3) NaOH / H
2
O
14 下列那一個化合物在酸性條件下水解會得到醛類化合物?
15 醛酮類的化合物在微酸性的水溶液中會有下列的平衡存在:
16 下列何者為酸度最強之苯甲酸衍生物?
17 下列何者在質譜圖中 m/e = 58 的位置會出現強信號?
(A)(CH
3
)
3
CCOCH
3
(B) CH
3
CH
2
COCH
2
CH
3
(C)(CH
3
)
2
CHCOCH
2
CH
3
(D) CH
3
COCH
2
CH
2
CH
3
18 下列反應的產物為何?(其中 O
*
代表
18
O)
19 下列那一個製備酯類的方法被稱為費雪酯化(Fischer esterification)?
20 下列那一試劑可將醯胺(RCONH2)轉換為胺(RCH2NH2)?
(A)(1) LiAlH
4
, (C
2
H
5
)
2
O (2) H
2
O
(B)(1) NH
2
NH
2
(2) NaOH, 加熱
(C) Zn / HCl
(D) H
2
/ Pt
21 下列反應稱為 Knorr 吡咯合成,產物經由脫水縮合過程而得,結構式中的 R
1
~R
4
為何?
(A) R
1
= CH
3
; R
2
= CO
2
C
2
H5 ; R
3
= CH
3
; R
4
= CO
2
C
2
H
5
(B) R
1
= CH
3
; R
2
= CO
2
C
2
H
5
; R
3
= CO
2
C
2
H
5
; R
4
= CH
3
(C) R
1
= CO
2
C
2
H
5
; R
2
= CH
3
; R
3
= CH
3
; R
4
= CO
2
C
2
H
5
(D) R
1
= CH
3
; R
2
= CH
3
; R
3
= CO
2
C
2
H
5
; R
4
= CO
2
C
2
H
5
22 輔酶(coenzyme)FAD 的結構中含有下列那一個核苷的結構? (A)腺苷(adenosine) (B)鳥糞苷(guanosine) (C)胞苷(cytidine) (D)尿苷(uridine)
23 環糖 α-D-核呋喃糖(α-D-ribofuranose)和 β-D-核呋喃糖(β-D-ribofuranose)係依據那一個位置的碳組態來 區分 α 型和 β 型? (A)碳 1 (B)碳 2 (C)碳 3 (D)碳 4
24 下列那一項是縮合聚合物(condensation polymer)? (A)聚對苯二甲酸乙二酯 poly(ethylene terephthalate) (B)聚四氟乙烯 poly(tetrafluoroethylene) (C)聚氯乙烯 poly(vinyl chloride) (D)聚 α-甲基丙烯酸甲酯 poly(α-methyl methacrylate)
25 下列反應,主要產物分子為:
申論題 (10)
【已刪除】一、試說明下列反應的反應機構。(5 分)
【已刪除】二、1,1-二甲氧基丙烷和 1-甲氧基丙-1-烯在酸性水溶液都會水解成為丙醛和甲醇,若改 為同位素 H
2
18
O 進行水解 請分別寫出反應機構以指示同位素氧-18 在那一項產物。 , (10 分)
【已刪除】三、提供完成下列的合成所需要的試劑。(10 分)
【已刪除】四、請列出下列反應合理的反應機構。(10 分)
【已刪除】五、下列化合物進行芳香族親電性取代反應時,何者速度較快並解釋之。(5 分)
【已刪除】 ⑴
【已刪除】 ⑵
【已刪除】 ⑶
【已刪除】 ⑷
【已刪除】 ⑸
相關試卷
114年 - 114 公務升官等考試_薦任_化學工程:有機化學#133257
114年 · #133257
114年 - 114 調查特種考試_三等_化學鑑識組、醫學鑑識組:有機化學#129586
114年 · #129586
114年 - 114 一般警察特種考試_二等_刑事鑑識人員材料及化學物品鑑析組:有機化學#127790
114年 · #127790
114年 - 114 關務特種考試_三等_化學工程(選試英文):有機化學#126661
114年 · #126661
114年 - 114 關務特種考試_四等_化學工程(選試英文):有機化學概要#126655
114年 · #126655
113年 - 113 調查特種考試_三等_化學鑑識組、醫學鑑識組:有機化學#122084
113年 · #122084
113年 - 113 關務特種考試_三等_化學工程(選試英文):有機化學#119488
113年 · #119488
113年 - 113 關務特種考試_四等_化學工程(選試英文)、化學工程(選試日文):有機化學概要#119484
113年 · #119484
112年 - 112 地方政府特種考試_四等_化學工程:有機化學概要#118363
112年 · #118363
112年 - 112 地方政府特種考試_三等_化學工程:有機化學#118140
112年 · #118140