所屬科目:研究所、轉學考(插大)-微積分
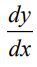
(a) On the curve xey+sin(xy)+ y - ln2=0 , viewing y as a differentiable function of x, find and the tangent line at (0, ln 2).
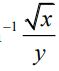
(b) Suppose (0.1, ) is on this curve, estimate.
(a) Suppose f'(x) exists and is continuous on [a, b], explain that the arc length of the graph of y = f(x) over [a, b] is equal to .
(b) Calculate the arc length of the graph of f(x) = ln (cos x) over .
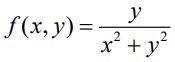
3. (20%) Find the gradient of f (x, y) tanat (4, -2). Also sketch the gradient vector together with the level curve that passes through (4, -2).
3. (20%) Sketch D= {(x , y ) | x2+y2≤1,y } and integrate over D using polar coordinates.
4. (20%) What is the radius of convergence of? What is the domain of f(x) = ? Also show that f(x)≡ ln(1+x) in its domain.