阿摩線上測驗
登入
首頁
>
研究所、轉學考(插大)-高等微積分
> 104年 - 104 淡江大學 轉學考 高等微積分#55495
104年 - 104 淡江大學 轉學考 高等微積分#55495
科目:
研究所、轉學考(插大)-高等微積分 |
年份:
104年 |
選擇題數:
0 |
申論題數:
18
試卷資訊
所屬科目:
研究所、轉學考(插大)-高等微積分
選擇題 (0)
申論題 (18)
【已刪除】1(10%) A sequence {x
n
} in
is said to be a Cauchy sequence in case for every ε > 0, there is a natural number n
0
such that for all m,n> n
0
, then |x
m
— x
n
|< ε. Show that a convergent sequence is a Cauchy sequence.
(a) Show that a
n
is monotone increasing (by induction).
(b) Show that a
n
is bounded above by 2 (by induction).
(c) Find the lim
n→∞
a
n
.
【已刪除】3(10%)
is open or give a counterexample.
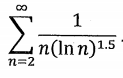
4(10%) Test for convergence or divergence
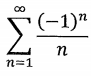
5(10%) Classify the following series into absolute convergence, conditional convergence or divergence. Explain why.
(a) Give the definition of uniform continuity of a function f defined on a set E
.
(b) Give the definition of a set E being “compactness” in
.
(c) Show that if f is continuous on a compact set E
M, then f is uniformly continuous.
【已刪除】(a)
(b)
【已刪除】(c)
(a) Find f
x
(0,0) and f
y
,(0,0).
【已刪除】(b) Find the partial derivative of / at (0,0) with respect to any vector
=(a,b) is
(c) Show that / is not differentiable at (0,0).
【已刪除】(a) Find the limit function f{x).
【已刪除】(b) Does fn(x) converge to f{x) uniformly? Explain why.