所屬科目:捷運◆電工原理
1. 均為 C 法拉的三個電容器,若三個電容器為並聯連結,則總電容值 為?(A) 1C (B) C(C) C (D) 3C。
3.有一負載的阻抗歐姆,該負載的功率因數應為? (A) 1.0 (B) 0.8 (C) 0.6 (D) 0.9。
6. 在下圖中,若電流 A 之讀數為 5 安培,電壓源 V 之大小為 30 伏特, 則電阻 R 之值為? (A) 3 歐姆 (B) 2 歐姆 (C) 5 歐姆 (D) 6 歐姆
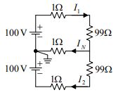
7. 在下圖中,若RX 欲獲得最大功率,其電阻值為? (A) 10Ω (B) 7.5Ω (C) 5Ω (D) 2.5Ω
9. 如下圖,若電感無儲存能量,則當開關 S 於(t = 0)關閉瞬間時之電 流值 I 為? (A) 0A (B)1.33A (C) 10A (D) 20A。
10. 如下圖中之電壓波形,求其平均值為? (A) 10V (B) –20V (C) –10V (D) 40V。
11. 如下圖所示之電路,試求平均功率之大小為? (A) 110 瓦特 (B) 137.5 瓦特 (C) 275 瓦特 (D) 550 瓦特。
12. 下圖中,I1值為? (A) (B) (C) (D)
13. 下圖中,a、b 兩端之總電阻值為? (A) 1Ω (B) 2Ω (C) 3Ω (D) 4Ω
14. 如下圖,一個理想的定電流源(虛線所示),其內阻RS 應為? (A) 0 (B) 1 (C) 與負載電阻RL 相等 (D) 無限大
15. 下圖中,電流 IX 之值為? (A) 15A (B)11A (C) –16A (D) –3 A
16. 如下圖中,若C = 4μF,則 ab 兩端之總電容值為? (A) 6 (B) 5 (C) 4 (D) 3 μF
19. 重疊原理(Principle of superposition)可應用於解? (A) 非線性電路 (B) 線性電路 (C) 非線性電路和線性電路均可 (D) 任何電路。
20. 如下圖所示,若電流表內阻Ra 等於250Ω,求其負載效應所引起的誤差百分比為多少? (A) –25% (B) –20% (C) 20% (D) 25%
21. 如下圖所示,X 為一電壓源,Vbc = -10V,則Vac為? (A) 4V (B) 3.5V (C) –2.5V (D) 2.5V
22. 如下圖所示,待電源穩定後,在 1 t 的時間,瞬間將開關 S1打開(OFF), 則 為? (A) 5mA (B) 10mA (C) 0mA (D) –10mA。
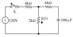
23. 如下圖所示之電路,電流 I 應為? (A) 1mA (B) 2mA (C) 3mA (D) 5mA
26. 如下圖所示之交流電橋,其中為一交流檢流計, ,若無電流流過檢流計,則Z4應為? (A) –j2 (B) –j0.5 (C) 1.6+j1.2 (D) –8–j6。
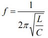
27. R-L-C 串聯電路之共振頻率為? (A) f = 2π √LC (B) (C) (D) 。
31. 如下圖所示電路中,C1、C2為電容器電容值,單位為法拉,V1、V2 為電容器端電壓,單位為伏特,S 為理想開關,設V1 >V2,則在 S 閉 合後,總電壓為多少伏特?
(A) V1 -V2 (B) (C) (D)
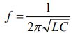
33. 如下圖所示電路中,三條線路電阻各為1Ω,負載各為99Ω,則 I1 , IN, I 2各為多少安培? (A) 1,0,1 (B) 1,0, –1 (C) 1,2, –1 (D) 1,2,1
34. 如下圖所示電路在空氣中,a 導體與 b 導體內阻不計,長度皆為 5m, 相距 10cm,則 b 導體受力大小及方向為? (A) 10 N -5 向上 (B) 10 N -5 向下 (C) 10 N -3 向上 (D) 10 N -3 向下。
38. 利用電壓表 V 及電流表 A 測量低電阻 R 的接法,何者正確?
(A) (B) (C) (D)
39.某磁束,其路徑長 3cm,截面積為 ,該物質的相對導磁係 數為 ,設磁動勢為 746 安匝(AT),沒有漏磁,則其磁通量 為多少 Wb? (A) 0.1 (B) 1 (C) 223.8 (D) 248.7。
42. 如下圖所示,若電壓表之內阻等於200kΩ時,則電壓表上之讀數為? (A) 30V (B) 45V (C) 60V (D) 90V
44. 如下圖所示,求 I=? (A) 1A (B) 2A (C) 3A (D) 4A
47. 如下圖所示,求 a、b 兩點之等效電阻? (A) 2Ω (B) 4Ω (C) 6Ω (D) 8Ω
48. 如下圖所示為多範圍直流電壓表電路,若直流電流表滿刻度 mI 為 1mA,內阻Rm為1kΩ,欲使V1檔可測之最大電壓為 10V,V2檔可測 之最大電壓為 100V,則倍率電阻R1及R2應為多少?
(A) R1 = 5kΩ , R2 = 55kΩ (B) R1 = 8kΩ , R2 = 80kΩ (C) R1 = 9kΩ , R2 = 82kΩ (D) R1 = 9kΩ , R2 = 90kΩ
49. 下圖電路中之電容原先並未儲存電荷,當開關閉合後,電壓V0之變 化情形為下列圖中的哪一個? (A) (B) (C) (D) 。