所屬科目:國營事業◆單元操作
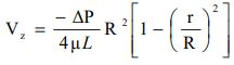
(一)黑根-普瓦醉方程式(Hagen-Poiseuille equation)常被用來測定圓管中流體之黏 度。今有一牛頓流體(Newtonian fluid)在圓管中的速度分佈(velocity profile)為,其中 R 為圓管之半徑,∆P 為流體流經管長為 L 時 之壓力差,µ為流體之黏度。試推導出黑根-普瓦醉方程式。(即流體體積流率 Q 與黏度µ之關係式)【15 分】