所屬科目:轉學考-普通化學
3. 2.50 g 的 MgBr2 中含有多少個陰離子 (A) (B) (C) (D)
4. 已知某化合物組成為 70.79% 碳,8.91% 氫,4.59% 氮,及 15.72% 氧,則其實驗式為 (A)(B) (C)(D)
5. 依下列化學反應式,若產物中的水有 37.4 g 生成時,硫的重量為多少克?(A)6.6 g (B) 99.8 g (C) 56.1 g (D) 44.4 g 。
6. 依下列化學反應式,若個氨分子與個氧分子進行反應時,最多可產生多少克的氮氣 (A) 1.86 g (B) 1.63 g (C) 6.51 g (D) 4.19 g。
7. 下列何者為的基態(ground state)電子組態 (A) (B) (C) (D) [Ar]。
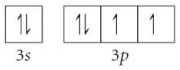
8. 下列何者為基態(ground state)電子的valence orbital diagram (A)(B) (C) (D)
10. 下列何者是 BF3 最佳路易士結構 (Lewis structure) (A) (B) (C) (D)
12. 將下列分子依 X-Se-X 鍵角由小到大排列,何者正確 (X 表示各分子最外圍的原子) (A) SeF2 < SeO2 < SeCl6 (B) SeCl6 < SeF2 < SeO2 (C) SeF2 < SeCl6 < SeO2 (D) SeO2 < SeF2 < SeCl6。
14.的中心原子,其混成軌域為 (A) sp2 (B) sp (C) sp3 (D) sp3d。
20. 若 KF 溶液密度為 1.22 g/mL,則 244 mL 0.135 m KF 溶液中含有多少莫耳的 KF (A)mol KF (B) 4.31 × mol KF (C)mol KF (D)mol KF。
21. 已知 HF 的 Ka 值為,則0.337 M HF 溶液的解離百分率為 (A) 1.1 % (B)(C) (D) 3.2 %。
22. 已知 25°C 時 NH3 溶液的 Kb 值為,則 0.188 M NH3 溶液的 pH 為 (A) 5.480 (B) 2.740 (C) 11.260 (D) 8.520。
32. 下列描述何者正確 (A) HF 的共軛酸為 (B) H2SO4 的共軛酸為 (C)的共軛鹼為 (D)的共軛鹼為 。
40. 若 Methylamine (CH3NH2) 的 Kb 為,則 1.60 M CH3NH3Cl 溶液的 pH 值為 (A) 5.18 (B) 1.61 (C) 8.82 (D) 12.39。