阿摩線上測驗
登入
首頁
>
技檢◆農業機械修護
> 105年 - 05200 農業機械修護 乙級工作項目 01:農業機械之檢查、保養、調整(101-200)#41600
105年 - 05200 農業機械修護 乙級工作項目 01:農業機械之檢查、保養、調整(101-200)#41600
科目:
技檢◆農業機械修護 |
年份:
105年 |
選擇題數:
100 |
申論題數:
0
試卷資訊
所屬科目:
技檢◆農業機械修護
選擇題 (100)
101. 台灣稻穀乾燥至可儲藏半年之最適含水率為濕基含水率(A)13%(B)15%(C)17%(D)19%。
102. 插秧機導程凸輪軸之功用是(A)使苗床縱向移動(B)使載苗台左右移動(C)控制取苗量(D)控制插植深度。
103. 水稻循環乾燥機運轉中如冒黑煙,應(A)降低風量(B)增大風量(C)增加供油料(D)增加乾燥之穀量。
104. 農地搬運車的手煞車通常採用的型式是(A)機械鋼索式(B)氣壓式(C)液壓式(D)鏈條式。
105. 圓盤犁依靠下列何者而產生入土能力?(A)犁本身的重量(B)垂直間隙(C)曳引機的拉力(D)水平間隙。
106. 為改善噴灌系統因地形影響的水壓差,宜加裝下列何種裝置?(A)定流量閥(B)定壓閥(C)電磁閥(D)自動轉換閥。
107. 雙滾筒式礱穀機的兩個滾筒之間隙相當於(A)穀粒長度(B)穀粒厚度(C)穀粒長度之半(D)穀粒厚度之半。
108. 雙滾筒式礱穀機的兩個滾筒之旋轉運動是(A)方向與線速均相同(B)方向相同,線速不同(C)方向不同,線速相 同(D)方向與線速均不相同。
109. 增加精米機加壓裝置之壓力,可(A)提高精白效果(B)降低精白效果(C)加速白米排出(D)加速米糠排出。
110. 比重選別機可利用振動力與下列何者相配合,以達成選別之目的?(A)篩網(B)光投射器(C)風鼓(D)槽孔。
111. 單缸預燃室式農用柴油引擎噴油嘴開始噴射壓力約為多少 kg/cm2?(A)60 至 80(B)100 至 120(C)130 至 150(D)160 至 180。
112. 已知一單缸引擎壓縮比為 9:1,汽缸總容積為 135cm3,汽缸截面積為 15cm2,則活塞行程為多少 cm?(A)7(B)8 (C)9(D)10。
113. 某單缸引擎汽缸內燃燒室容積為 100cc,活塞位移容積為 1000cc,則壓縮比為(A)9(B)10(C)11(D)12。
114. 引擎經過長期運轉後,汽缸壁易於何處產生最大磨損?(A)活塞下死點位置(B)活塞上死點位置(C)活塞下死點 上方四分之一行程位置(D)活塞上死點位置下方四分之一行程位置。
115. 對電瓶之敘述,下列那一項是對的?(A)電瓶蓋污垢可用稀鹽酸擦洗,再用清水洗潔(B)自車上拆卸電瓶應先 拆去火線電纜(C)慢速充電時,多只電瓶同時充電採取串聯接法,並以最小容量之充電率充電(D)電瓶之電極 樁頭發熱最主要原因為電水過少。
116. 交流發電機的發電原理為(A)轉動的磁力線切割導線感應出電流(B)轉動的導線切割磁力線感應出電流(C)靠剩 磁發電(D)靠整流子發電。
117. 使用塑膠規測量曲軸軸承間隙之要領是(A)不轉動曲軸,測量塑膠規寬度(B)不轉動曲軸,測量塑膠規厚度(C) 轉動曲軸,測量塑膠規寬度(D)轉動曲軸,測量塑膠規厚度。
118. 起動馬達的磁場線圈是用那種材料繞成的?(A)扁銅條(B)細銅線(C)軟鋼線(D)漆包線。
119. 電瓶搭鐵極性裝錯,對交流發電機的影響是(A)燒毀整流二極體(B)燒毀磁場線圈(C)燒毀保險絲(D)輸出的直流 電極性相反。
120. 下列何者對電瓶的傷害最大?(A)充電不足(B)過度充電(C)電水太少(D)用電過度。
121. 交流發電機產生電流的部分是(A)轉子(B)靜子(C)整流子(D)電樞。
122. 扭力扳手可用於(A)拆卸螺絲(B)鎖緊螺絲至規定扭力(C)拆卸和鎖緊螺絲(D)拆卸一般扳手扭不動之螺絲。
123. 使用電樞試驗器檢查電樞時,如電樞上鋸片跳動,表示電樞有(A)搭鐵(B)短路(C)斷路(D)彎曲。
124. 兩個容量為 120AH 的 12V 電瓶串聯在一起,則此迴路(A)容量為 240AH,電壓為 12V(B)容量為 120AH,電壓 為 24V(C)容量為 120AH,電壓為 12V(D)容量為 240AH,電壓為 24V。
125. 拆裝螺絲應優先使用(A)開口扳手(B)梅花扳手(C)活動扳手(D)管子扳手。
126. 電瓶充電中應注意電液的溫度不可超過(A)30℃(B)45℃(C)60℃(D)75℃。
127. 電瓶的電未能流入交流發電機的主要原因為(A)電瓶的電流永遠低於發電機(B)裝有斷電器(C)裝有整流粒(D)裝 有電流調整器。
128. 螺絲的鎖緊扭力為 5kg-m,如扭力扳手的單位為 kg-cm,則應鎖至(A)0.5kg-cm(B)50kg-cm(C)500kg-cm(D)5000kgcm。
129. 電流錶所表示的電流為(A)電瓶的電流量(B)電瓶充電時的電流量(C)電瓶放電時的電流量(D)電瓶充電或放電時 的電流量均可顯示。
130. 電瓶之電液經常缺乏的可能原因是(A)電瓶損壞(B)發電機損壞(C)充電不足(D)過度充電。
131. 檢查曲軸端隙應使用(A)游標卡尺(B)塑膠規(C)厚薄規(D)錶規。
132. 農用搬運車之兩前輪(A)可以有限度的上下自由浮動(B)不可以上下浮動(C)可以有限度的前後動(D)不可以上下 及前後移動。
133. 目前用於坡地或果園的運搬機具以何者為主?(A)貨車(B)拼裝車(C)動力搬運車(D)纜車式搬運機。
134. 液壓煞車放氣螺絲是裝在總泵和(A)後輪軸(B)分泵(C)輪胎鋼圈(D)煞車鼓。
135. 帶式輸送機上側支持皮帶的是(A)嚮導滾輪(B)回程滾輪(C)惰輪(D)軸承。
136. 螺旋穀類輸送機於作業中穀粒的損傷多寡與轉速(A)成正比(B)成反比(C)無關(D)不一定。
137. 穀類輸送管路中,彎曲多、傾斜大時以何種方式為佳?(A)空氣輸送機(B)箕斗輸送機(C)螺旋輸送機(D)離心機。
138. 下列哪一種輸送機可作垂直方向之運搬?(A)螺旋輸送機(B)箕斗式升降機(C)帶式輸送機(D)梯板輸送機。
139. 四輪式拖車的轉向裝置有第五輪式及(A)樞動節軸式(B)拖轉式(C)差速器式(D)爪接式。
140. 乾燥機在乾燥末期時,每小時之乾燥速度宜為多少,以確保米質?(A)3%~4%(B)1%~2%(C)0.6%~0.8%(D) 0.1%~0.3%。
141. 水稻乾燥機在台灣氣候條件下宜採用(A)自然通風式(B)火力循環式(C)常溫循環式(D)通風靜置式。
142. 種稻乾燥時,熱風溫度必須保持在多少以下,方可確保發芽率?(A)40℃(B)50℃(C)80℃(D)100℃。
143. 為確保米質,並提高乾燥效率,通常採用何種乾燥法?(A)連續方式(B)均化方式(C)低溫去熱方式(D)高溫加熱 方式。
144. 各農會收穀所用之水分測定器大多為(A)電阻式(B)電容式(C)紅外線式(D)烤箱。
145. 濕穀 3200 公斤,濕基含水率為 26%,欲乾燥到 13%,其蒸發的水分重量為幾公斤﹖(A)475.2(B)476.2(C)477.2 (D)478.2。
146. 箱型乾燥機的乾燥溫度以高於大氣溫度幾度為宜?(A)5~10℃(B)10~15℃(C)15~20℃(D)20~25℃。
147. 乾燥機電磁泵之作用為(A)油之加壓(B)油路開關(C)熱風口開關(D)熱風口調節。
148. 選別機上具有適當之孔洞是依據農產品的那一種特性?(A)產品尺寸(B)產品形狀(C)產品比重(D)產品硬度。
149. 將糙米外層的糠層去除的機械稱為(A)礱穀機(B)精米機(C)風鼓(D)米漏。
150. 水稻聯合收穫機脫穀不乾淨最可能的原因為(A)作業速度太快(B)水稻太濕(C)脫穀深度太淺(D)輸送鏈條調整不 良。
151. 水稻聯合收穫機之脫穀筒發生稻稈纏繞時,其可能原因之一為(A)篩網阻塞(B)切禾刀磨損(C)脫穀筒轉速過慢 (D)脫穀筒轉速過快。
152. 水稻聯合收穫機脫穀筒上的脫穀齒排列成(A)直線型(B)曲線型(C)對稱型(D)螺旋型。
153. 水稻聯合收穫機行走部採用履帶式的主要目的是(A)防震(B)防陷(C)堅固(D)美觀。
154. 水稻聯合收穫機排草鏈條常堵塞的原因為(A)集草量過多(B)集草量過少(C)鏈條轉速太快(D)鏈條轉速太慢。
155. 水稻聯合收穫機一號輸送螺旋與揚穀輸送螺旋,通常成(A)90°(B)45°(C)180°(D)225°。
156. 水稻聯合收穫機將乾淨穀粒輸送到出穀口的機構屬於(A)箕斗式(B)螺旋式(C)帶式(D)氣壓式。
157. 水稻聯合收穫機脫穀筒之脫穀作業是藉何種作用來完成脫粒工作﹖(A)碰撞(B)滾輾(C)夾拉(D)打擊。
158. 水稻聯合收穫機之乾淨穀粒是由那一出口輸出的﹖(A)1 號出口(B)2 號出口(C)3 號出口(D)4 號出口。
159. 水稻聯合收穫機割刀組,割刀比受刀(A)多一片(B)少一片(C)多二片(D)少二片。
160. 水稻聯合收穫機轉向不良,應檢查(A)脫穀部(B)輸送部(C)割取部(D)行走部。
161. 水稻聯合收穫機的轉向是靠(A)方向盤(B)差速器(C)腳煞車(D)轉向離合器兼煞車。
162. 有關水稻聯合收穫機,下列何者應把排塵調節把手置於「少」之位置?(A)割取稻作乾燥時(B)稻作潮濕時(C) 淨穀含有稻稈、草屑(D)下雨天。
163. 水稻聯合收穫機各齒輪箱所加之潤滑油為(A)SAE10#(B)SAE30#(C)SAE90#(D)SAE140#。
164. 大豆聯合收穫機是利用下列哪一種底盤設計的﹖(A)搬運車(B)汽車(C)玉米收穫機(D)水稻聯合收穫機。
165. 離心式抽水機使用前不需注水的是(A)渦旋泵(B)軸流泵(C)透平式泵(D)自吸式泵。
166. 離心式抽水機使用前需先做什麼動作?(A)加油(B)注水(C)放水(D)放空氣。
167. 離心式抽水機使用前先行注水的目的是(A)補充水量(B)充滿渦室(C)排除空氣(D)與空氣混合。
168. 離心式抽水機運轉後抽不出水的原因是(A)出水管太小(B)動力機轉速太快(C)吸水揚程太短(D)吸水管或泵室內 有空氣。
169. 曳引機馬力用國際單位制(SI)表示,其代號為(A)DIN(B)kW(C)SAE(D)hp。
170. 曳引機犁地或拖動重負荷農具時,易導致重量轉移,其預防方法為(A)車前增加配重(B)增加農具重量(C)加大 輪胎直徑(D)增加前進速度。
171. 曳引機之油壓系統中,那一種閥可控制油壓油優先供應轉向系統?(A)分流閥(B)逆止閥(C)優先閥(D)洩壓閥。
172. 真空播種機播出種子缺株過多,其原因為(A)真空度不足或播種圓盤片吸附種子的孔徑太小(B)PTO 轉速過快 致真空吸力太強(C)種子箱種子過多(D)風扇直徑過大致吸力過強。
173. 噴霧機噴霧粒的粗細與下列那一項有關?(A)水泵進水量及噴霧控制開關(B)噴管內水壓及噴嘴型式(C)噴霧軟 7 管長度及直徑大小(D)水箱濾網的精密度。
174. 板犁犁地之入土能力是依(A)板犁重量(B)板犁犁尖之角度與寬度大小(C)犁底之垂直間隙及犁側面之旁向間隙 (D)增加曳引機速度。
175. 下列那一項可增加圓碟耙的入土深度?(A)增加碟片角、增加配重於農具或增加碟耙片直徑(B)增加引擎馬力 及耙地速度(C)增加耙地速度及應用較小直徑之碟耙片(D)降低行進速度,應用較小直徑之碟耙片。
176. 行列作物中耕之目的在促進生長,其主要理由為(A)噴殺草劑前之準備工作(B)採收前之準備工作(C)灌溉前之 準備工作(D)除草並使水分易於滲透。
177. 曳引機前進後退換檔時不必踩離合器是因(A)利用乾式離合器及油壓元件配合作動(B)利用濕式離合器及油電 元件配合作動(C)利用乾式離合器及電磁閥配合作動(D)利用離心力原理配合變速箱作動。
178. 薯類挖掘機抖動鏈條之節距是依下列那一項決定?(A)薯塊重量(B)土壤種類(C)土壤種類及薯塊直徑大小(D)鏈 條之鏈桿直徑大小。
179. 可依據引擎負荷大小,自動維持穩定轉速之機件為(A)節溫器(B)化油器(C)增壓器(D)調速器。
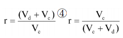
180. 若引擎壓縮比為 r,排氣量為 V
d
,燃燒室容積為 V
c
,則下列公式那一項是對的?
181. 排氣量為 4000cc 的四行程引擎之轉速為 2000rpm,則每分鐘約吸入若干公升的空氣?(A)1000(B)2000(C)4000 (D)8000。
182. 引擎進氣門在上死點前 15°即開啟而在下死點後 10°才關閉,排氣門在下死點前 8°即開啟而在上死點後 20° 才關閉,則汽門重疊角度為(A)18°(B)25°(C)28°(D)35°。
183. 有關耕耘機 6.00-12 橡膠輪胎之標稱,下列那一項是對的?(A)6.00 表示輪胎內徑為 6 吋(B)12 表示輪胎寬度為 12 公分(C)12 表示輪胎外徑為 12 吋(D)6.00 表示輪胎寬度為 6 吋。
184. 曳引機作業中,迴轉犁會自動舉升無法下降,其原因為(A)耕深設定開關故障(B)耕深自動調整感知器故障(C) 作業方式選擇錯誤(D)油壓升降控制閥故障。
185. 裝置有倍速轉向(QT)之曳引機,於迴轉時,下列那一項是錯的?(A)迴轉時前輪呈高速迴轉(B)比正常迴轉半 徑小(C)轉向時前輪內側轉速比外側快(D)轉向時外側車輪轉速比內側快。
186. 曳引機引擎有敲擊聲,其原因為(A)柴油管路破損(B)機油泵壓力過高(C)柴油噴射泵正時不正確(D)活塞環磨損。
187. 曳引機的儀錶顯示水溫過高及未充電,其故障原因為(A)水箱破裂(B)水箱過髒(C)引擎節流閥故障(D)風扇皮帶 斷掉。
188. 引擎曲軸轉速很慢,無法起動引擎,電瓶電解液比重為 1.280,其原因為(A)電解液比重過高(B)發電機充電功 能弱(C)搭鐵線未接(D)電瓶線接頭鬆動。
189. 使用雙向板犁,其主要目的為(A)犁起的土壤均向田區同一個方向翻犁,犁地後地面比較平整(B)犁地後會增 加背壟與死壟利於灌溉(C)減少調頭次數,節省燃料(D)犁起的土壤分向田區二個方向翻犁,犁後比較平整。
190. 有關乘座式插秧機之動力轉向敘述,下列那一項是錯的?(A)方向盤轉到底後,不可再繼續轉動方向盤(B)方 向盤轉到底後,會出現異音,可能為正常現象(C)不可長時間將方向盤轉到底(D)方向盤之使用不會受引擎熄 火影響。
191. 落花生採收機其脫莢筒之設計裝置方式,下列那一項是對的?(A)平置式,前後高低一致(B)傾斜式,前低後 高(C)傾斜式,前高後低(D)浮動式,前後高低可調整。
192. 落花生採收機採收後有過多花生莢殘留土中,其原因與下列那一項無關?(A)推土刀調整不良(B)作物條件不 良(C)採收高度過高(D)行走速度太慢。
193. 有關引擎活塞,下列敘述那一項是對的?(A)活塞裙部的直徑略小於活塞頭部的直徑(B)活塞裙部的直徑略大 於活塞頭部的直徑(C)活塞裙部的直徑等於活塞頭部的直徑(D)活塞裙部的直徑可能略大於亦可能略小於活塞 頭部的直徑,視該引擎為汽油引擎抑或柴油引擎。
194. 下列敘述那一項是對的?(A)汽油引擎之爆震發生於燃燒初期(B)汽油引擎之爆震發生於燃燒末期(C)柴油引擎 之爆震發生於燃燒末期(D)汽油引擎與柴油引擎之爆震皆發生於燃燒初期。
195. 汽門與汽門座之密合角度為(A)5°或 10°(B)15°或 20°(C)30°或 45°(D)60°。
196. 曳引機動力分導裝置(PTO)若由車後(即面向行車方向)觀看,其旋轉方向為(A)順時針(B)反時針(C)當轉速 540r pm 時為順時針,轉速為 1000rpm 時為反時針(D)當轉速 540rpm 時為反時針,轉速為 1000rpm 時為順時針。
197. 曳引機驅動輪之花紋若由車輛前方觀看,為(A)正人字形(B)倒人字形(C)正人字形與倒人字形皆可(D)若為四輪 驅動式曳引機,其前輪為正人字形而後輪為倒人字形。
198. 若一電瓶各分電池之極板總數為 21,下列那一項是對的?(A)正極板數目為 12(B)正極板數目為 11(C)負極板數 目為 11(D)負極板數目為 10。
199. 若一電瓶各分電池之隔板數為 18,下列那一項是對的?(A)正極板數目為 10(B)負極板數目為 10(C)正負極板數 目之和亦為 18(D)正極板數目之和亦為 17。
200. 有關免加水的電瓶敘述,下列那一項是對的?(A)電解液的水分不會減少(B)電解液的水分仍會減少(C)電解液 的水分減少時會由大氣中自然補充(D)電解液的水分會因充電作用而增加。
申論題 (0)