所屬科目:自動化設備控制概要
(一)演算出此一機械圖之轉換函數。
(二)試算出此一轉換函數的阻尼比 ξ (Damping Ratio)。
(三)其自然頻率ωn (Natural Frequency)為何?
第二題:
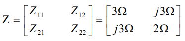
設 Z 模型表示雙端口網絡如下:
如【圖 2】,其中輸入電壓 V0 = 3∠00、內部阻抗 Z0 = 5 Ω、負載阻抗 ZL = 4 Ω。請計算雙端口網絡的輸入電壓 V1、輸出電壓 V2、輸入電流 I1、及輸出電流 I2。
第三題: 一系統輸出函數的拉式函數 (The Laplace Transform Form) 為 Y(s),s 為拉式轉換運算 子(Laplace Operator);
請計算其輸出的時間函數 y(t)為何?
(一)計算 det [A] =?
(二)計算=?
(三)證明 A․ = I (單位矩陣)