阿摩線上測驗
登入
首頁
>
初等/五等/佐級◆經濟學大意
> 105年 - 105 初等考試_經建行政:經濟學大意#38033
105年 - 105 初等考試_經建行政:經濟學大意#38033
科目:
初等/五等/佐級◆經濟學大意 |
年份:
105年 |
選擇題數:
50 |
申論題數:
0
試卷資訊
所屬科目:
初等/五等/佐級◆經濟學大意
選擇題 (50)
1 下列有關「實證經濟學」(positive economics)的敘述,何者正確? (A)針對經濟現象或經濟政策效果進行客觀分析 (B)著重「應該如何」的討論 (C)所獲致之結論無法驗證 (D)以主觀的價值判斷,探討經濟議題
2 若某一國家在開放貿易前,其國內咖啡價格高於世界價格,則開放貿易後,下列那一種情況不會發生? (A)成為咖啡的進口國 (B)國內咖啡產量減少 (C)國內咖啡消費者的福利受損 (D)整體經濟福利上升
3 甲國與乙國擁有相同數量的勞動,用來生產 X 與 Y 兩種產品。兩國生產 1 單位 X 產品與 1 單位 Y 產品所 需勞動如下表所示。若甲國 X 產品的生產技術進步,生產力變為原來的 2 倍,則下列敘述何者錯誤?
(A)根據比較利益原則,技術進步前兩國貿易無利可圖 (B)技術進步發生後,甲國生產 1 單位 X 產品的機會成本上升 (C)根據比較利益原則,技術進步發生後甲國應出口 X 產品 (D)若兩國根據比較利益專業化生產,技術進步後兩國總產出會增加
4 小李畢業後有甲、乙、丙三個工作機會,甲工作月薪為 X 元,乙工作月薪為 Y 元,丙工作月薪為 Z 元, 且 X>Y>Z。在其他條件相同下,小李選擇甲、乙、丙三個工作的機會成本依序為: (A) Y、Z、X (B) Z、X、Y (C) Y、X、X (D) X、X、Y
5 甲國與乙國均生產蔬菜與稻米,兩國的生產可能線都是直線,如下圖所示。若兩國根據比較利益法則, 專業化生產其各自具比較利益之產品,則兩國的生產點分別為何?
(A)甲國為 A 點,乙國為 B 點 (B)甲國為 A 點,乙國為 D 點 (C)甲國為 C 點,乙國為 B 點 (D)甲國為 C 點,乙國為 D 點
6 假設供需曲線符合供需法則。若需求增加的同時,供給減少,則下列何者一定發生? (A)均衡價格上升 (B)均衡價格下降 (C)均衡交易數量增加 (D)均衡交易數量減少
7 假設政府為了保障米農的生活,在稻米市場訂定具約束力的最低售價。下列敘述何者正確? (A)稻米市場會供過於求 (B)稻米市場會發生超額需求 (C)此最低售價限制小於市場均衡價格 (D)此最低售價限制令消費者的需求量大於市場均衡產量
8 假設 A 國的石油全部來自於進口。當國際原油價格變動時,該國的國內油價大幅波動,但國內石油市場 均衡量幾乎沒什麼改變。下列對 A 國石油市場的敘述,何者正確? (A)供給彈性很大 (B)需求彈性很大 (C)供給彈性很小 (D)需求彈性很小
9 假設其他條件不變,當 X 財貨的需求函數為 Q
X
= 100 - 4P
X
- 0.05 M - 0.5P
Y
,其中 Q
X
為需求量,P
X
與 P
Y
分別為 X 與 Y 的價格,M 為所得。下列敘述何者正確? (A) X 財貨為正常財貨 (B) X 財貨為劣等財貨 (C) X 財貨為季芬財貨 (D) X 財貨為自由財貨
10 假設其他條件不變,若老王不論香菸的價格為何,他每個月對香菸的支出始終維持為其月所得的 30%, 則老王每個月對香菸的: (A)所得彈性 > 1,需求價格彈性 < 1 (B)所得彈性 < 1,需求價格彈性 > 1 (C)所得彈性 > 1,需求價格彈性 > 1 (D)所得彈性 = 1,需求價格彈性 = 1
11 假設其他條件不變,若個人平板電腦的生產技術大幅度進步之同時,個人平板電腦的使用功能性又有突 破性創新,深受消費者喜愛,則個人平板電腦的均衡數量(Q)及均衡價格(P)會: (A) P 及 Q 均上漲 (B) Q 上漲,但 P 不確定 (C) P 上漲,但 Q 不確定 (D) P 及 Q 均下跌
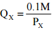
12 假設其他條件不變,且王先生對陽春麵的需求函數為
,其中 Q
X
為陽春麵需求量,M 為王先生 的所得,P
X
則為陽春麵的單價。若王先生所得為 800 元,且陽春麵的單價由 40 元下降為 20 元,則以中 點法求算之需求價格彈性(絕對值)為: (A) 2 (B) 1 (C) 0.5 (D) 0
13 假設 X 物品對追求效用最大的李小姐而言是劣等財。在何種條件下,X 物品對李小姐是季芬財? (A)所得效果小於替代效果 (B)所得效果等於替代效果 (C)所得效果大於替代效果 (D)不需要任何條件
14 假設小丁消費三明治各種數量下的邊際效用均為正值,且隨著三明治消費量增加,邊際效用增加。小丁 消費三明治的總效用會隨著三明治消費量增加而: (A)下降 (B)不變 (C)增加 (D)資訊不足,無法判斷
15 假設王小姐選擇消費金額及休閒時數以達到滿足程度最大,且消費金額及休閒對王小姐均為正常品。假 設王小姐的每小時工資由 110 元上升為 120 元。在其他條件不變下,王小姐的替代效果為: (A)增加消費金額及休閒時數 (B)增加消費金額,但減少休閒時數 (C)減少消費金額,但增加休閒時數 (D)減少消費金額及休閒時數
16 若咖啡是正常品,在其他條件不變下,下列敘述何者正確? (A)當名目所得增加,該物品的需求量減少 (B)當名目所得減少,該物品的需求量增加 (C)當名目所得增加,該物品的需求量不變 (D)當名目所得減少,該物品的需求量減少
17 假設某獨占廠商面對市場需求曲線 P = 10 - 2Q,其中 P 及 Q 分別為該物品的單價及數量,且其邊際成本 固定為 2 元。若此一獨占廠商追求利潤最大,則消費者總剩餘為: (A) 1 元 (B) 4 元 (C) 9 元 (D) 16 元
18 下列何者有助於改善所得分配不均? (A)消費金額愈高稅率愈低的營業稅 (B)進口金額高低與稅率無關的關稅 (C)應稅所得愈高稅率愈高的所得稅 (D)定額的汽車燃料稅
19 在長期,完全競爭廠商的利潤達到極大時,產量水準應該位於價格等於下列何種成本的最低點? (A)總變動成本 (B)長期總成本 (C)長期邊際成本 (D)長期平均成本
20 環境污染會造成外部成本,是因為: (A)污染行為人是沒有生產力的人 (B)承受污染的人沒有支付污染成本 (C)污染行為人沒有認知到污染是不好的 (D)污染行為人沒有負擔污染成本
21 假設甲公司生產 50 單位產品之總成本為 650 元,總變動成本為 500 元。則甲公司生產 20 單位產品之平均固定成本為: (A) 150 元 (B) 100 元 (C) 7.5 元 (D) 3 元
22 偏遠地區的商店容易形成獨占,主要是因為: (A)廠商享有規模經濟 (B)政府管制其他廠商進入市場 (C)市場規模太小 (D)廠商擁有規模報酬遞增的生產函數
23 如果原先進行數量競爭的幾家生產同質產品的廠商形成勾結,則有關勾結的經濟效果,下列敘述何者正 確? (A)市場價格降低 (B)消費者剩餘提高 (C)社會福利降低 (D)所有廠商的總成本變高
24 假設某勞動市場為完全競爭,則在其他條件不變之下,下列何者會導致市場均衡名目工資下降? (A)產品價格下降 (B)勞動生產力提高 (C)政府實施有效的最低工資政策 (D)少子化
25 透過第二級差別訂價,獨占廠商往往可以獲得比單一訂價時更高的利潤。這個多出來的收入,最主要是 來自於: (A)市場原來的消費者剩餘 (B)市場原來的生產者剩餘 (C)生產成本的降低 (D)新的消費者需求
26 假設某一完全競爭產業為成本固定產業,且目前有 100 家廠商,每一家廠商擁有相同的長期成本函數。 此時市場的長期均衡價格為 20,市場的需求函數為 Q = 1000 - 20P。然而,某經濟學家預測未來的市場 需求將會變成 Q = 700 - 20P。若該預測正確,則該產業未來將會有多少家廠商? (A) 30 家 (B) 50 家 (C) 100 家 (D) 200 家
27 廠商的中間財(intermediate goods)成本: (A)大於總固定成本 (B)小於總固定成本 (C)大於總變動成本 (D)小於總變動成本
28 下列關於國內生產毛額(GDP)的敘述何者正確? (A) GDP 是一流量概念 (B) GDP 是一存量概念 (C)液晶面板的出口值的變動會影響 GDP,但液晶電視機的出口值的變動不會影響 GDP (D)液晶電視機的出口值的變動會影響 GDP,但液晶面板的出口值的變動不會影響 GDP
29 下表顯示某國只生產橘子與番茄的價格與數量資料,基期年為 2010 年。根據該表,該國 2011 年的國內 生產毛額(GDP)平減指數的年增率為:
(A) 25% (B) 50% (C) 75% (D) 100%
30 如要了解一個人實質上從他的新臺幣定期存款賺到多少,我們需要同時知道定期存款利率與: (A)物價膨脹率 (B)重貼現率 (C)失業率 (D)匯率
31 老張受僱幫礦場開採煤炭;礦場將煤炭賣到鋼鐵廠,鋼鐵廠用煤炭做為能源,製造鋼板賣給建築公司; 建築公司用鋼板建造住宅賣給消費者。在這個經濟流程當中,對下列那項物品的需求屬於最終需求? (A)煤礦工人的勞動 (B)建築公司購買的鋼板 (C)煤炭 (D)住宅
32 假設其他條件不變,當法定退休年齡延後時: (A)勞動參與率會上升 (B)勞動參與率會下降 (C)勞動參與率不受影響 (D)資料不足,無法判斷
33 在短期,下列關於完全競爭廠商的生產者剩餘之敘述,何者正確? (A)廠商之經濟利潤為零,則其生產者剩餘也為零 (B)廠商之生產者剩餘為零,則其經濟利潤也為零 (C)市場需求減少將使生產者剩餘變大 (D)市場需求減少將使生產者剩餘變小
34 若凱因斯模型的消費函數中,邊際消費傾向等於 0.8,則平均消費傾向可能等於: (A) 0.2 (B) 0.7 (C) 0.8 (D) 0.9
35 某一經濟體系有以下的資料:C = 170 + 0.8(Y – T ),I = 280,G = 190,T = 100 + 0.1Y。均衡時,該經濟體系的邊際儲蓄傾向及平均儲蓄傾向分別為多少? (A) 0.8;0.9 (B) 0.72;0.805 (C) 0.2;0.1 (D) 0.28;0.195
36 關於邊際效用的敘述,下列何者錯誤? (A)一般而言,邊際效用最終一定會有遞減的現象 (B)邊際效用愈大時消費者的願付價格愈高 (C)邊際效用達最大值時,消費者效用亦達到極大值 (D)邊際效用為每增加一單位消費所帶來的效用增加幅度
37 假設政府支出增加且稅收不變,對均衡所得的影響效果為①;政府支出增加且稅收同幅度增加,對均衡 所得的影響效果為②,則①與②之間的關係為: (A)① > ② (B)① < ② (C)① = ② (D)資料不足,無法確定
38 根據凱因斯學派,短期而言,下列何種總體政策搭配可以提高一封閉經濟體系的實質國民所得,卻不大 影響利率? (A)政府購買性支出增加,貨幣供給減少 (B)政府購買性支出減少,貨幣供給減少 (C)政府購買性支出減少,貨幣供給增加 (D)政府購買性支出增加,貨幣供給增加
39 當中央銀行將社會大眾手中的美金買入後,下列敘述何者錯誤? (A)可以增加準備貨幣 (B)可以增加外匯存底 (C)可以減少貨幣供給 (D)同時增加中央銀行的資產和負債
40 下列有關貨幣數量定義的敘述,何者正確? (A) M1B = M1A+活期存款 (B) M1B = M1A+活期儲蓄存款 (C) M2 = M1A+M1B (D) M2 = M1B-M1A
41 下列何者並非我國中央銀行所追求之經營目標? (A)穩定金融環境 (B)穩定幣值 (C)穩定失業率 (D)協助經濟發展
42 大多數經濟學家認為,貨幣供給變動在長期: (A)只會影響實質變數,不會影響名目變數;且此一看法與古典理論不一致 (B)只會影響名目變數,不會影響實質變數;且此一看法與古典理論一致 (C)會同時影響名目變數和實質變數;且此一看法與古典理論不一致 (D)既不會影響實質變數,也不會影響名目變數;且此一看法與古典理論一致
43 若政府原本以課稅融通支出,現改以長期公債融通支出,此一改變會產生所得重分配,獲得利益者是: (A)退休者 (B)高納稅者 (C)剛踏入社會的年輕人 (D)在學學生
44 我國國家發展委員會所發布的景氣對策信號(或稱為景氣燈號)若顯示為綠色,則代表: (A)景氣過熱 (B)景氣穩定 (C)景氣低迷 (D)景氣正在轉向中
45 在景氣下滑階段,通常我國中央銀行會採取那些政策來刺激景氣? (A)提高利率、使新臺幣升值、減少中央銀行定期存單發行 (B)提高利率、使新臺幣升值、增加中央銀行定期存單發行 (C)降低利率、使新臺幣貶值、減少中央銀行定期存單發行 (D)降低利率、使新臺幣貶值、增加中央銀行定期存單發行
46 若某國在 2014 到 2015 年間的每人實質國內生產毛額(GDP)成長率為 3%,就業人口占總人口比例的成 長率為-0.05%,則該國的平均勞動生產力成長率約為多少? (A) 2.95% (B) 3.05% (C) 0.95% (D)-0.95%
47 在固定匯率制度下,若購買力平價說成立,則: (A)兩國利率相同 (B)兩國失業率相同 (C)兩國經濟成長率相同 (D)兩國物價膨脹率相同
48 下列何者不屬於國際收支帳中資本帳內的項目? (A)債務免除 (B)資本設備贈與 (C)專利權取得與處分 (D)外人證券投資
49 在浮動匯率制度下,中央銀行不能採取下列何項措施? (A)釘住美元 (B)調整應提準備率 (C)中央銀行在公開市場買進債券 (D)中央銀行在公開市場賣出債券
50 下列何者不屬於在 1997 年亞洲金融風暴中被投機客攻擊國家的特徵? (A)外債多 (B)經常帳出現赤字 (C)金融監理不健全 (D)外匯存底偏高
申論題 (0)
相關試卷
115年 - 115 初等考試_經建行政:經濟學大意#136709
115年 · #136709
114年 - 114 身心障礙特種考試_五等_經建行政:經濟學大意#126628
114年 · #126628
114年 - 114 初等考試_經建行政:經濟學大意#124877
114年 · #124877
113年 - 113 初等考試_經建行政:經濟學大意#118526
113年 · #118526
112年 - 112 地方政府特種考試_五等_經建行政:經濟學大意#118338
112年 · #118338
112年 - 112 原住民族特種考試_五等_經建行政:經濟學大意#116424
112年 · #116424
112年 - 112 初等考試_經建行政:經濟學大意#112892
112年 · #112892
111年 - 111 地方政府特種考試_五等_經建行政:經濟學大意#112616
111年 · #112616
111年 - 111 初等考試_經建行政:經濟學大意#105681
111年 · #105681
110年 - 110 地方政府特種考試_五等_經建行政:經濟學大意#104739
110年 · #104739