所屬科目:台電◆工程力學概要
5. 如右圖細長均質桿,長度L,斜靠在光滑牆面上,與地面夾角為 θ,桿與地面間之靜摩擦係數為μ,若想保持靜止平衡,請問μ 至少要大於多少才夠? (A) tanθ(B) tan(2θ) (C) tan(θ/ 2)(D) 1/ (2 tanθ) L θ
6. 如右圖所示,應力σ-應變ε圖中,下列敘述何者有誤? (A) A點為比例限度(proportional limit) (B) B點為降伏應力(yielding stress) (C) D點為極限應力(ultimate stress) (D) D點至E點為應變硬化現象
8. 在Timoshenko符號系統下,梁之剪力圖V(x)與彎矩圖M(x)的關係是? (A)(B) (C)(D)
11. 如右圖所示,長L之懸臂梁承受均佈載重W,若剛度EI為常數,請問 最大撓度為何? (A)(B)(C) (D)
12. 如右圖所示,長L之懸臂梁在自由端受一集中載重P,若剛度EI為 常數,請問最大撓度為何? (A)(B) (C)(D)
13. 如右圖所示,有一梁長度L,承受均佈載重W,剛度EI,則B點之 支承反力為何? (A)(B) (C)(D)
17. 某一懸臂梁承受載重如右圖所示,請問梁所受之最大剪力V max 為何? (A) 8 kN(B) 15 kN (C)18 kN(D) 20 kN
18. 有一梁如右圖所示,B點為鉸接(hinge),請問固定端A點之彎矩 為多少kN-m? (A) 24(B) 36 (C) 48(D) 72
19. 有一桁架(truss)系統如右圖所示,試問Bb桿件之內力為多少? (A) 0 kN(B) 15 kN (C) 30 kN(D) 45 kN
20. 有一長L之懸臂梁承受一均變載重W,斷面為b× h如右圖所示 ,請問A斷面之最大撓曲應力為多少? (A) (B)(C)(D)
22. 如右圖所示,一平面應力元素,請問最大剪應力τ max 為何? (A) 10 ksi(B) 15 ksi (C) 25 ksi(D) 30 ksi
23. 如右圖所示,桿ABC,A、C兩端固定,在B點處承受軸向力P, 則A點反力為何? (A) (B) (C) (D)
24. 如右圖所示,A、B兩串聯桿件受軸力P作用,產生10 mm之伸長 量,試求A桿之伸長量為多少? (A) 3 mm(B) 4 mm (C) 5 mm(D) 6 mm
28. 如右圖所示,一重量W之均質圓球,若靜置於光滑面所形成之V形 槽中,試求在接觸點A,由光滑面施加在圓球作用力R A 為多少W? (A) 1⁄2(B)⁄2 (C)3 ⁄4(D) ⁄4
29. 如右圖所示,連桿OA長度5 L,不考慮自重,以鉸接(hinge) 方式支撐於O點,另一端有載重W,且連桿C點以纜線連接至 B點,若整體平衡而維持靜止不動,則BC纜線之拉力為何? (A) 5W⁄ (B) 8W (C) 10W(D) 5W
30. 有一吊繩如右圖所示,AD呈水平,滑輪B無摩擦,若平衡而維持 靜止不動,則物體C的質量為多少kg? (A) 50(B) 67 (C) 75(D) 80
31. 如右圖所示,有一半圓形,C 為形心,r 為半徑,有關 斷面的平面性質,下列敘述何者有誤? (A)(B)(C)(D)
32. 有一受力系統如右圖所示,請問支承B點反力 大小為何? (A) 3 t(B) 4 t (C) 5 t(D) 6 t
33. 有一簡支梁承受外力如右圖所示,請問梁之剪力圖應為下列何者? (A)(B) (C) (D)
34. 有一受力系統如右圖所示,請問AB梁中點處彎矩大小為何? (A) 24 t-m(B) 36 t-m A (C) 40 t-m(D) 48 t-m
35. 有一簡支梁承受外力如右圖所示,請問梁之彎矩圖應為下列何者? (A)(B) (C) (D)
36. 有一系統受力如右圖所示,AB 為均勻桿件,兩端由線材懸 吊,兩線材之材料及截面積均相同,忽略桿件自重,請問 2 m 要在距 A 端施加一垂直力 P 而使 AB 桿能保持水平的距離 X 為何? (A) 2 m(B) 3 m (C) 4 m(D) 5 m
37. 有一桁架系統承受載重如右圖所示,請問桁架中零桿個數 3m 為多少? (A) 1(B) 3 (C) 5(D) 7
38. 有一桁架系統承受載重如右圖所示,請問 a 桿內力大小為 3m 何? (A) 2 t(B) 3 t (C) 4 t(D) 5 t
39. 有一等腰三角形如右圖所示,請問其對X軸之慣性矩IX為何?(A)(B)(C)(D)
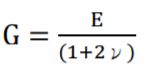
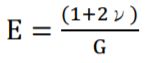
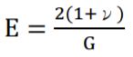
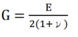
40. 有關材料之剪力模數(G)、彈性模數{E}及蒲松比(ν)之關係式,下列何者正確?(A)(B)(C)(D)
41. 如右圖所示,使用3個一組之電阻組合應變計,量測平面應變分量,若Y 3個應變計A、B及C所量得應變分別為,有關平面應變分量,下列何者有誤? (A)(B) (C) (D)
42. 有一系統如右圖所示,大球O1 半徑6 m,重150 kgf,小球O2 半徑4 m, 重50 kgf,所有接觸面均為光滑面,有關各接觸力,下列何者有誤? (A) R A = 37.5 kgf(B) R B = 50 kgf (C) R C = 37.5 kgf(D) R D = 200 kgf
43. 有一空間力如右圖所示,力= 35 kgf,作用方向由A �⃑ 點指向B點,則該力沿X、Y、Z分力之大小為何? (A) F x = 20、F y = 10、F z = -15 (B) F x = 30、F y = 10、F z = -15 (C) F x = 20、F y = 10、F z = 15 (D) F x = 30、F y = 20、F z = 15
50. 以下有關梁受彎矩作用之彎曲應力公式,下列敘述何者有誤? (A)梁之中性軸將通過梁斷面之形心 (B) I為梁斷面之慣性矩 (C) y為自梁受拉側至中性軸的距離 (D)若欲求梁斷面最上、下緣之彎曲應力,該公式亦可表示為σ= M/ S,其中S為梁斷面之斷 面模數