所屬科目:研究所、轉學考(插大)-微積分
(a)
(b)
(c)
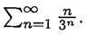
3. (a) Evaluate
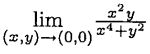
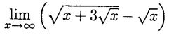
(b) Evaluate
4. Solve the initial value problem
5. Suppose f is differentiable in a neighborhood of c and f'(c) > 0. Show that there is a δ > 0 such that f(a) < f(c) < f(b) for all a in (c-δ,c) and all b in (c,c +δ).
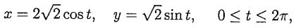
6. Let T(x,y) be the temperature at the point (x, y) on the ellipse and suppose that ∂T/∂x = y, ∂T/∂y = x. Locate the maximum and minimum temperatures on the ellipse by examining dT/dt and d2T/dt2.
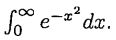
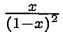
7. (a) Expand f(x) = as a power series.
(b) Use part (a) to find the sum of the series