所屬科目:研究所、轉學考(插大)-微積分
1.=?
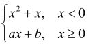
2. For f(x)= find all real numbers a and b such that f'(0) exists.
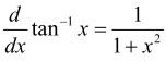
3. Show that .
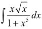
4. Evaluate =?
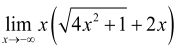
5. Evaluate =?
6. Let P(1,1,0) and f(x,y)=x3 y-xy3. Please find an equation of the tangent plane to z=f(x,y) at P.
7. Evaluate the double integral , where D≔{(x,y)| 0≤x≤2,1≤y≤2}.
8. Evaluate +xdy, where C is a line segment from (-5,-3) to (0,2).
9. Let E≔{(x,y,z)| x2+y2 ≤ z ≤ 1} with the boundary ∂Eand n be the outward-pointing normal vector. Given a vector fieldF(x,y,z)=(+2x-sinz,x-cosz,sin sin(y2)-z2).Please evaluate
10. Determine if the series converges. Prove or disprove it.