所屬科目:研究所、轉學考(插大)-微積分
(B). Find =__(2)__ and=__ (3)__ at the point x = 1, y = 1 of the curve x3+2y-2y4 =0.
(C)Evaluate. -Answers:__ (4)__ .
(D)Find the volume of the solid generated by revolving the following region about the y-axis: {(x,y) :0 ≤x ≤π and 0 ≤y ≤sinx}. Answer: __(5)__ .
(E) Find the arc length of the curve y = from x= 0 to x = π/3.
Answer: __(6)__ .
(I) Let u = u(r, y) be a function of t, y. Express in terms of polar coordinates r,θ together with Answer: __(10)__
(J) Find the directional derivative of f(x, y, 2) =xy z2 at the point (e,e, 1) in the direction u = Answer: __(11)__.
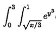
(M) Evaluate dydx. Answer: __(14)__ .
(N) Let R be the region in the first quadrant of the xy-plane bounded by xy = 1, xy = 2, y = 2 and y = 2x. Evaluatedxdy. Answer:____ (15)____.
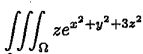
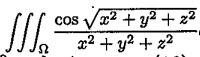
(O) Evaluate dxdydz, where Ω is given by Ω = {(x,y, 2) : 1≤x2+y2+z2≤2}.Ansuer:__(16)__.
(P) Evaluatedrdydz, whereΩ is the cylinder defined by Ω ={(x,y,z):x2 +y2≤1 and 0 ≤z≤1}. Answer: __(17)__.
(Q) Let S be the surface described by z = x2+ with 4x2+ y2 ≤ 1 oriented with normals with positive k-components. Let F(x,y,z) = xi - yj + k. Evaluate F.dS. Answer:__ (18)__ Also, evaluated.S. Answer: __(19)__.
(R) Let C be the counterclockwise oriented boundary of the region in the xy- plane enclosed byx2 + y2 - 20 = 0 andx2 + y2 - 2y = 0. Evaluate the line integral . Answer:__ (20)__.