阿摩線上測驗
登入
首頁
>
有機化學
> 105年 - 105 普通考試_化學工程:有機化學概要#54618
105年 - 105 普通考試_化學工程:有機化學概要#54618
科目:
有機化學 |
年份:
105年 |
選擇題數:
25 |
申論題數:
15
試卷資訊
所屬科目:
有機化學
選擇題 (25)
1 選出與溴(Br
2
)進行照光反應最快的烷分子?(A)CH
3
CH
3
(B)CH
3
CH
2
CH
3
(C)(CH
3
)
3
CH (D)(CH
3
)
4
C
2 下列化學反應可獲得:
(A)具有光學活性的產物 (B)內消旋型產物(C)一對外消旋型混合產物 (D)內消旋型產物和一對外消旋型混合產物
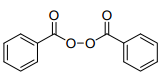
3 下列各物中何者具有最大的共振能?(A)
(B)
(C)
(D)
4 下列加成反應中,何者不依馬克尼可夫(Markovnikov)法則? (A)
(B)
(C)
(D)
5 下列反應的主要產物為何?
(A)
(B)
(C)
(D)
6 下列化合物何者酸度最大? (A)
(B)
(C)
(D)
7 下列那一反應條件可將 1,3-環戊二烯(1,3-cyclopentadiene)轉換成具有芳香族(aromatic)性質的結構? (A)t-BuOK, THF (B)HBr (C)ZnCl
2
(D)H
2
O
2
8
?(A)
(B)
(C)
(D)
9 有關吡咯(pyrrole)及吡啶(pyridine),下列敘述何者正確?
(A)吡咯上氮原子為 sp
3
混成(B)吡啶上氮原子為 sp
2
混成,提供 1 個 p 軌域電子(C)兩者進行芳香族親電子取代(electrophilic aromatic substitution)反應,皆較苯反應快(D)吡咯鹼性強度較大
10 下列那一個反應無法如預期得到醇類(alcohols)的產物? (A)
(B)
(C)
(D)
11 下列那一個化合物與格任亞試劑(Grignard reagent 如 CH
3
MgBr)的反應性最高? (A)
(B)
(C)
(D)
12 下列化合物中,何者最易水解? (A)
(B)
(C)
(D)
13 下式費雪投影(Fischer projection)所示構造的絕對組態(absolute configuration)為:
(A)2R,3R (B)2R,3S (C)2S,3R (D)2S,3S
14 將羧酸溶於 H
2
18
O 中,請問下列平衡式何者為最可能的現象?(A)
(B)
(C)
(D)
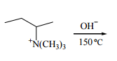
15 下列何者是四級銨鹽(quaternary ammonium salt)? (A)(CH
3
CH
2
)
4
N
+
Cl- (B)(CH
3
CH
2
)
3
NH
+
Cl
-
(C)(CH
3
CH
2
)
2
NH
2
+Cl
-
(D)CH
3
CH
2
NH
3
+
Cl
-
16 下列何者為尼古丁(Nicotine)的化學結構式? (A)
(B)
(C)
(D)
17 請選擇下列化學反應適合的試劑?
(A)(1)NaNO
2
, HCl, H
2
O, 0-5°C (2)HNO
3
, H
2
O (B)(1)NaNO
2
, HCl, H
2
O, 0-5°C (2)H
3
PO
2
, H
2
O(C)(1)NaNO
2
, HCl, H2O, 0-5°C (2)H
2
, Ni (D)NaH
18 下列化學反應的主要產物為何?
(A)
(B)
(C)
(D)
19 何者為下列反應的主產物?
(A)CH
3
CH
2
CH
2
CH
2
CH
2
CH
3
(B)
(C)
(D)
20 下列那一個化學試劑是用來切除胜肽(peptide)上面的三級丁氧羰基(tert-butoxycarbonyl, Boc)保護基?(A)H
2
/Pd (B)CF
3
CO
2
H (C)Na
2
CO
3
, H
2
O (D)LiAlH
4
21 D-葡萄糖在自然界中含量甚豐,下列何者為其正確結構? (A)
(B)
(C)
(D)
22 下列那一個聚合物的立體結構被稱為對排(syndiotactic)? (A)
(B)
(C)
(D)
23 苯乙烯聚合時加入那一個化合物可產生交聯? (A) H
2
C= CH
2
(B)
(C)
(D)
24 下列那一化合物為毒牛奶事件中三聚氰胺(melamine)的化學結構? (A)
(B)
(C)
(D)
25 下列分子結構中有多少個掌性中心(chiral center)?
(A)1 (B)2 (C)3 (D)4
申論題 (15)
【已刪除】⑴
【已刪除】⑵
【已刪除】⑶
【已刪除】⑷
【已刪除】⑸
【已刪除】二、寫出下列反應之反應機構:(5 分)
三、請解釋為何反-1,2-二甲基環己烷有兩個光學異構物,而順-1,2-二甲基環己烷無 光學異構物。(5 分)
【已刪除】四、下列化學轉化需要經過多步驟的反應,請寫出各步驟所需的試劑及經過的中間 物以獲得較高的產率。(10 分)
A
B
C
D
E
⑴化合物 A: δ 1.2(9H, 單峰), 9.7(1H, 單峰)
⑵化合物 B: δ 1.2(6H, 雙重峰, J = 7 Hz), 2.1(3H, 單峰), 2.4(1H, 七重峰, J = 7 Hz)
相關試卷
114年 - 114 公務升官等考試_薦任_化學工程:有機化學#133257
114年 · #133257
114年 - 114 調查特種考試_三等_化學鑑識組、醫學鑑識組:有機化學#129586
114年 · #129586
114年 - 114 一般警察特種考試_二等_刑事鑑識人員材料及化學物品鑑析組:有機化學#127790
114年 · #127790
114年 - 114 關務特種考試_三等_化學工程(選試英文):有機化學#126661
114年 · #126661
114年 - 114 關務特種考試_四等_化學工程(選試英文):有機化學概要#126655
114年 · #126655
113年 - 113 調查特種考試_三等_化學鑑識組、醫學鑑識組:有機化學#122084
113年 · #122084
113年 - 113 關務特種考試_三等_化學工程(選試英文):有機化學#119488
113年 · #119488
113年 - 113 關務特種考試_四等_化學工程(選試英文)、化學工程(選試日文):有機化學概要#119484
113年 · #119484
112年 - 112 地方政府特種考試_四等_化學工程:有機化學概要#118363
112年 · #118363
112年 - 112 地方政府特種考試_三等_化學工程:有機化學#118140
112年 · #118140