阿摩線上測驗
登入
首頁
>
土木監工大意
> 105年 - 105 鐵路特種考試_佐級_土木工程:土木監工大意#53408
105年 - 105 鐵路特種考試_佐級_土木工程:土木監工大意#53408
科目:
土木監工大意 |
年份:
105年 |
選擇題數:
40 |
申論題數:
0
試卷資訊
所屬科目:
土木監工大意
選擇題 (40)
1 監造單位及其所派駐現場人員工作重點,下列何者不屬於其工作範圍? (A)訂定監造計畫 (B)填具抽查紀錄表 (C)填具自主檢查表 (D)履約介面之協調與整合
2 依據公共工程施工品質作業管理要點規定,下列敘述何者錯誤? (A)品管人員應辦理品管統計分析 (B)「矯正」措施是確保不符合事項不再發生的管制流程 (C)預防措施流程是利用適當資料來源,以分析及消除不符合的潛在原因 (D)品管人員應核定監造計畫
3 竹節鋼筋標號 D10 之單位質量為: (A) 0.560 kg/m (B) 0.560 kg/m
3
(C) 5.08 kg/m (D) 5.08 kg/m
3
4 某一土樣試驗結果:通過#4 篩及#200 篩的量分別為 68%及 3%,Cu=8 且 Cd=2,依美國統一土壤分類法 是屬於: (A)優良級配礫石(GW) (B)不良級配礫石(GP) (C)優良級配砂(SW) (D)不良級配砂(SP)
5 水泥熟料礦物中,下列何者水化熱為最大? (A)矽酸二鈣 (B)矽酸三鈣 (C)鋁酸三鈣 (D)鋁鐵酸四鈣
6 篩分析試驗時,以標準篩號而言,若 a 為 3/8'',b 為 3/4'',c 為#30,d 為#100,依篩孔大小依序排列,下 列何者正確? (A) abcd (B) bacd (C) cdab (D) dcba
7 梁柱鋼筋保護層的厚度為: (A) 2 cm (B) 4 cm (C) 7.5 cm (D) 10 cm
8 粉土質黏土層 N 值多數小於 10,此 N 值由何種試驗獲得: (A)平板試驗 (B)載重試驗 (C)加州承載比試驗 (D)標準貫入試驗
9 下列何者不屬於建築逆打工法之施工優點? (A)通風採光佳 (B)地上層地下層同時施工,縮短工期 (C)一樓底版先行施築,可作為材料堆置及作業空間 (D)適用於條件特殊之基地
10 在人孔、下水道、坑道、隧道、逆打工法之地下層及其他自然換氣不充分之工作場所須置備空氣測定儀 器,其氣體檢測值之規定,下列何者錯誤? (A)氧氣濃度在 18%以上 (B)硫化氫濃度在 10 ppm 以下 (C)一氧化碳濃度在 35 ppm 以下 (D)甲烷濃度在 20 ppm 以下
11 地下連續壁施工所使用之穩定液,何者不屬於其須檢測項目? (A)比重 (B) pH 值 (C)黏滯性 (D)化學成分
12 火力發電廠燃燒煙煤時由集塵系統所集之飛灰,若其氧化鈣含量低於 10%,此飛灰種類屬於: (A) A 級 (B) C 級 (C) F 級 (D) N 級
13 請問 1000 psi 之 CLSM 強度為: (A) 50 kg/cm
2
(B) 70 kg/cm
2
(C) 105 kg/cm
2
(D) 140 kg/cm
2
14 路面標線所含玻璃珠用量須 30%以上,其抗滑係數 BPN 之規定(潮濕狀況),下列何者正確? (A) 40 以上 (B) 45 以上 (C) 50 以上 (D) 55 以上
15 使用第 I 型水泥及不摻任何摻料之混凝土,以養護期間氣溫在 15℃以上為準,梁(淨跨 6m 以上)拆除 模板之時間為: (A) 3 天 (B) 7 天 (C) 14 天 (D) 21 天
16 依據公共工程施工品質管理作業要點,機關辦理之工程,多少元金額以上未達巨額採購,須設置品管人 員至少 1 人? (A) 100 萬元 (B) 1000 萬元 (C) 2000 萬元 (D) 5000 萬元
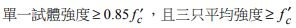
17 當結構混凝土強度品質不符合設計要求時,應按照 CNS 1238 在混凝土強度可疑處鑽取三個代表性試體,假如設計強度為
,鑽心試驗合格標準是下列那一項?(A)
(B)
(C)
(D)
18 依據行政院公共工程委員會之相關規定,避雷系統接地電阻應在: (A) 10 Ω 以下 (B) 20 Ω 以下 (C) 30 Ω 以下 (D) 40 Ω 以下
19 下列何者不屬於地錨的構造之一? (A)錨頭 (B)錨碇端 (C)自由端 (D)錨尾
20 工程施工管理控制的目標就是要達到 QCDS,其中 S 是指: (A) 安全管理 (B) 品質管制 (C) 進度管理 (D) 成本控制
21 依據行政院所頒布「公共工程施工品質管理制度」,成立三級品管制度不包含: (A) 建立承包商「施工品質管制系統」 (B) 主辦工程單位「施工品質保證系統」 (C) 主管機關「工程施工品質評鑑制度」 (D) 分包商「分項工程施工品質管理」
22 現行結構混凝土設計規範中對鋼筋的彈性模數 E S為: (A) 2.04 ×10
6
kgf / cm
2
(B) 1.54 ×10
6
kgf / cm
2
(C) 1.04 ×10
6
kgf / cm
2
(D) 3.04 ×10
6
kgf / cm
2
23 目前公共工程規定不得使用的鋼筋為: (A) 普通鋼筋 (B) 竹節鋼筋 (C) 水淬鋼筋 (D) 光面鋼筋
24 模板工程是屬於: (A) 永久性結構體工程設施 (B) 臨時性工程設施 (C) 次結構體工程設施,並包含於其中一部分 (D) 景觀工程設施
25 模板工程組立應設置安全措施,並指派有經驗之專責人員,於混凝土澆置時隨時檢視模板工程之狀況, 防範不當: (A) 混凝土數量不正確 (B) 鋼筋位置與根數有誤 (C) 沉陷、變形、變位、扭曲或漏漿等 (D) 數量計算確實
26 所謂「再撐」係指將混凝土模板及支撐拆下後,又將支撐物回撐之施工技術。下列何種情況常運用再撐? (A) 加速模板使用,或施工載重大時分散荷重 (B) 再撐系統屬於一般常態性模板設計作業 (C) 加強利用模板系統 (D) 拆模時可以盡速拆除,且可以經 7 天後「再撐」再施作
27 造成基地地質「土壤液化」之原因不包含下列那一項? (A) 地下水位高 (B) 受到地震或爆炸影響 (C) 屬於粘質土層 (D) 屬於砂質土壤
28 建築技術規則建築設計施工編規定,挖土時在多少深度以上者,除地質良好,不至發生崩坍或其周圍狀 況無安全疑慮者,應有適當之擋土設備? (A) 1.5 m (B) 2.0 m (C) 2.5 m (D) 3.0 m
29 全斷面鑽掘機(Tunnel Boring Machine,TBM)適用在: (A) 軟弱地盤 (B) 破碎帶岩盤 (C) 堅硬岩盤 (D) 適用在任意地盤
30 柔性道路鋪面所使用的材料為: (A) 瀝青與石料拌合而成 (B) 純混凝土 (C) 鋼筋混凝土 (D) 鋼纖維混凝土
31 道路邊坡傾斜率不大,可採用護坡保護坡面穩定。但為維護自然景觀及環保原則,近年來逐漸採用: (A) 噴水泥沙漿護坡 (B) 噴混凝土護坡 (C) 植生護坡 (D) 石砌護坡
32 臺灣綠建築評估指標(EEWH)中,減廢指標是指廢棄物減量指標以及: (A) 二氧化碳減量指標 (B) 雨水收集再利用指標 (C) 節水、節電指標 (D) 垃圾減量指標
33 鋼骨構造最顯著的缺點,除易產生腐蝕外,另一個缺點是: (A) 重量較重 (B) 加工性不易 (C) 無法回收使用 (D) 防火性差
34 依據經濟部國家標準公告及國家標準制(修)定重點:鑒於鋼筋混凝土及預力混凝土,將 CNS3090 (預拌混凝土)中,鋼筋混凝土與預拌混凝土用之新拌混凝土,最大水溶性氯離子含量修訂為單一含 量規定值: (A) 0.15 kg/m
3
(B) 0.30 kg/m
3
(C) 0.60 kg/m
3
(D) 0.90 kg/m
3
35 在中度硫酸鹽或中度水化熱環境中施築混凝土,須採用 CNS 61 第幾型水泥? (A) 第 I 型 (B) 第 II 型 (C) 第 IV 型 (D) 第 V 型
36 混凝土所使用粗、細粒料的分界是採用 ASTM 標準篩中那一種篩號區分? (A) 4 號篩 (B) 8 號篩 (C) 16 號篩 (D) 30 號篩
37 在夏天高溫、相對濕度較低、風速較大的環境中澆置大面積混凝土時,早期容易在表面產生: (A) 微細裂縫 (B) 冷縫 (C) 乾縮裂縫 (D) 塑性裂縫
38 混凝土澆置完成依規定至少需養護 7 天以上,但如果工地混凝土實際抗壓強度達設計強度多少百分比以 上時,得終止其養護作業? (A) 40% (B) 50% (C) 60% (D) 70%
39 工程中採用之「自充填混凝土」是指: (A) 澆置過程中需要進行振動搗實的混凝土 (B) 澆置過程中不需要施加任何振動搗實的混凝土 (C) 藉由自身之自充填性能,仍需以外力充填至鋼筋間隙及模板各角落 (D) 無法藉由自身之自充填性能,需以外力充填至鋼筋間隙及模板各角落
40 混凝土配比設計中的水膠比用( pc w + )表示,式中 cw ,, p 分別是指水,水泥和: (A) 化學摻料 (B) 卜作嵐材料 (C) 粗粒料 (D) 細粒料
申論題 (0)
相關試卷
112年 - 112 鐵路特種考試_佐級_土木工程:土木監工大意#114914
112年 · #114914
111年 - 111 鐵路特種考試_佐級_土木工程:土木監工大意#108553
111年 · #108553
110年 - 110 鐵路特種考試_佐級_土木工程:土木監工大意#101600
110年 · #101600
109年 - 109 鐵路特種考試_佐級_土木工程:土木監工大意#87018
109年 · #87018
107年 - 107 鐵路特種考試_佐級_土木工程:土木監工大意#69511
107年 · #69511
106年 - 106 鐵路特種考試_佐級_土木工程:土木監工大意#62556
106年 · #62556
104年 - 104 鐵路特種考試_佐級_土木工程:土木監工大意#22126
104年 · #22126
101年 - 101 鐵路特種考試_佐級_土木工程:土木監工大意#33903
101年 · #33903
100年 - 100 鐵路特種考試_佐級_土木工程:土木監工大意#33972
100年 · #33972
99年 - 99 鐵路特種考試_佐級_土木工程:土木監工大意#36129
99年 · #36129