阿摩線上測驗
登入
首頁
>
有機化學
> 105年 - 105 關務特種考試_四等_化學工程:有機化學概要#50164
105年 - 105 關務特種考試_四等_化學工程:有機化學概要#50164
科目:
有機化學 |
年份:
105年 |
選擇題數:
0 |
申論題數:
18
試卷資訊
所屬科目:
有機化學
選擇題 (0)
申論題 (18)
⑴ N, N-Dimethylformamide(DMF)
⑵ Methyl t-butyl ether(MTBE)
⑶ Methylene chloride
⑷ Tetraethyl lead
⑸ Acetonitrile
【已刪除】 ⑴
【已刪除】 ⑵
【已刪除】 ⑶
【已刪除】 ⑷
【已刪除】 ⑸
【已刪除】 ⑹
【已刪除】 ⑺
【已刪除】 ⑻
【已刪除】 ⑼
【已刪除】 ⑽
【已刪除】 ⑴
【已刪除】 ⑵
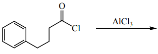
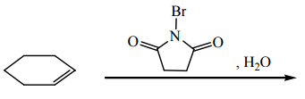
【已刪除】四、請完成下列合成反應:(可使用任何無機試劑,15 分)
相關試卷
114年 - 114 公務升官等考試_薦任_化學工程:有機化學#133257
114年 · #133257
114年 - 114 調查特種考試_三等_化學鑑識組、醫學鑑識組:有機化學#129586
114年 · #129586
114年 - 114 一般警察特種考試_二等_刑事鑑識人員材料及化學物品鑑析組:有機化學#127790
114年 · #127790
114年 - 114 關務特種考試_三等_化學工程(選試英文):有機化學#126661
114年 · #126661
114年 - 114 關務特種考試_四等_化學工程(選試英文):有機化學概要#126655
114年 · #126655
113年 - 113 調查特種考試_三等_化學鑑識組、醫學鑑識組:有機化學#122084
113年 · #122084
113年 - 113 關務特種考試_三等_化學工程(選試英文):有機化學#119488
113年 · #119488
113年 - 113 關務特種考試_四等_化學工程(選試英文)、化學工程(選試日文):有機化學概要#119484
113年 · #119484
112年 - 112 地方政府特種考試_四等_化學工程:有機化學概要#118363
112年 · #118363
112年 - 112 地方政府特種考試_三等_化學工程:有機化學#118140
112年 · #118140