阿摩線上測驗
登入
首頁
>
技檢◆機電整合-乙級
> 105年 - 17000 機電整合 乙級 工作項目 01:自動化機械元件的應用及設計 101-149#40946
105年 - 17000 機電整合 乙級 工作項目 01:自動化機械元件的應用及設計 101-149#40946
科目:
技檢◆機電整合-乙級 |
年份:
105年 |
選擇題數:
49 |
申論題數:
0
試卷資訊
所屬科目:
技檢◆機電整合-乙級
選擇題 (49)
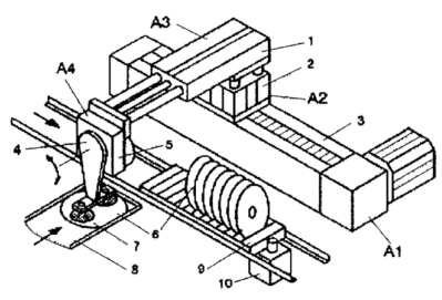
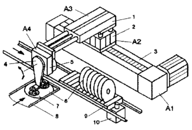
101. 如下圖為光碟分裝機器,A1 的線性運動機構,A2 升降缸,A3 雙軸缸,A4 旋轉缸及吸盤,若要得到精確 定位且快速的運動,A1 可採用
(A)DC 馬達(B)AC 馬達(C)伺服馬達(D)變頻馬達。
102. 如圖為光碟分裝機器,A1 的線性運動機構,A2 升降缸,A3 雙軸缸,A4 旋轉缸及吸盤,若要放置光碟, 以圖示為機械原點,則致動器的驅動順序是
(A)A4 吸、A3 退、A4 轉、A2 升、A1 右、A2 降、A4 放(B)A4 吸、 A4 轉、A2 升、A3 退、A2 降、A1 右、A4 放(C)A4 吸、A2 升、A1 右、A4 轉、A2 降、A3 退、A4 放(D)A4 吸、A2 升、A3 退、A4 轉、A1 右、A2 降、A4 放。
103. 如下圖為光碟分裝機器,A1 的線性運動機構,A2 升降缸,A3 雙軸缸,A4 旋轉缸及吸盤,此機構為
(A)取 放單元(P&P)(B)SCARA 機械臂(C)史都華(Stewart)平台(D)惠氏機構(Whitworth)。
104. 可將旋轉中之兩軸,隨意使之結合或分離的是(A)聯軸器(B)離合器(C)緩衝器(D)萬向接頭。
105. 如圖的機構可以使工作滑台左右往復運動,方框*1所指向的機構為
(A)聯軸器(B)離合器(C)緩衝器(D)萬向接頭。
106. 如下圖的機構可以使工作滑台左右往復運動,方框*2所指向的機構為
(A)聯軸器(B)離合器(C)緩衝器(D)導螺桿。
107. 如圖的機構,主動輪 1 單向連續旋轉時,可以使棘輪 2
(A)單向連續旋轉(B)雙向連續旋轉(C)單向間歇旋轉(D) 雙向間歇旋轉。
108. 在相同轉速下,滑台移動速度與螺桿導程長度成(A)平方根正比(B)平方根反比(C)正比(D)反比 的關係。
109. 有一支雙線導螺桿在固定位置上,每次旋轉一圈可將螺帽沿螺桿移動固定的距離,則該距離稱為(A)導程(B) 螺距(C)牙距(D)節距。
110. 有關滾珠導螺桿帶動滑台之敘述,下列何者有誤?(A)定位精度很高(B)反覆定位之重置精度很高(C)導程愈 小,定位精度愈高(D)適用於直線快速移動定位。
複選題
111. 有一支雙線導螺桿可在固定位置上旋轉,當旋轉 5 圈可將螺帽沿螺桿移動 50mm 距離,下列敘述哪些正確? (A)導程 L=10 mm(B)螺距 p=2.5 mm(C)螺距 p=5 mm(D)導程 L=5 mm。
複選題
112. 有一支雙線導螺桿可在固定位置上旋轉,當旋轉 5 圈可將螺帽沿螺桿移動 80 mm 距離,下列敘述哪些正確? (A)導程 L=8 mm(B)螺距 p=8 mm(C)螺距 p=4 mm(D)導程 L=16 mm。
複選題
113. 如下圖所示,有一步進馬達驅動一組定位工作平台,此步進馬達之全步進角度為 1.8°,馬達輸出軸配有一 減速比 12.5:1 之減速齒輪組,齒輪組之輸出軸接至導螺桿。若導螺桿每轉動 10 圈,滑台移動 50mm,下列 敘述哪些正確?
(A)滑台定位之解析度 R=2.5 μm(B)滑台定位之解析度 R=2.0 μm(C)螺桿之導程 L=5 mm(D)螺 8 桿之導程 L=10 mm。
複選題
114. 如下圖所示,有一步進馬達驅動一組定位工作平台,此步進馬達之全步進角度為 0.9°,馬達輸出軸配有一 減速比 10:1 之減速齒輪組,齒輪組之輸出軸接至導螺桿。若導螺桿每轉動 10 圈,滑台移動 100mm,下列 敘述哪些正確?
(A)滑台定位之解析度 R=2.5 μm(B)滑台定位之解析度 R=2.0 μm(C)螺桿之導程 L=5 mm(D)螺 桿之導程 L=10 mm。
複選題
115. 如下圖所示,有一步進馬達驅動一組定位工作平台,此步進角度為 0.72°,控制時使用半步進功能,馬達輸 出軸配有一減速比 10:1 之減速齒輪組,齒輪組之輸出軸接至導螺桿。若導螺桿每轉動 5 圈,滑台移動 50m m,下列敘述哪些正確?
(A)滑台定位之解析度 R=1.0 μm(B)滑台定位之解析度 R=2.0 μm(C)螺桿之導程 L=10 mm(D)螺桿之導程 L=5 mm。
複選題
116. 如下圖所示,有一步進馬達驅動一組定位工作平台,此步進馬達之全步進角度為 θ,馬達輸出軸配有一減 速比 10:1 之減速齒輪組,齒輪組之輸出軸接至導螺桿。若導螺桿每轉動 10 圈,滑台移動 80mm,此滑台定 位之解析度 R=2.0 μm,下列敘述哪些正確?
(A)步進角度 θ=1.8°(B)步進角度 θ=0.9°(C)螺桿之導程 L=6 mm (D)螺桿之導程 L=8 mm。
複選題
117. 如下圖所示,有一步進馬達驅動一組定位工作平台,此步進馬達之全步進角度為 θ,馬達輸出軸配有一減 速比 30:1 之減速齒輪組,齒輪組之輸出軸接至導螺桿。若導螺桿每轉動 10 圈,滑台移動 60mm,此滑台定 位之解析度 R=1.0 μm,下列敘述哪些正確?
(A)步進角度 θ=1.8°(B)步進角度 θ=0.9°(C)螺桿之導程 L=6 mm (D)螺桿之導程 L=8 mm。
複選題
118. 如下圖所示,有一步進馬達驅動一組定位工作平台,此步進馬達之全步進角度為 0.72°,馬達輸出軸配有一 減速比 i 之減速齒輪組,齒輪組之輸出軸接至導螺桿。若導螺桿每轉動 5 圈,滑台移動 30mm,此滑台定位 之解析度 R=2.0 μm,下列敘述哪些正確?
(A)減速比 i = 6:1(B)螺桿之導程 L=6 mm(C)減速比 i = 5:1(D)螺桿 之導程 L=8 mm。
複選題
119. 如下圖所示,有一步進馬達驅動一組定位工作平台,此步進馬達之全步進角度為 0.9°,馬達輸出軸配有一 減速比 i 之減速齒輪組,齒輪組之輸出軸接至導螺桿。若導螺桿每轉動 10 圈,滑台移動 60mm,此滑台定 位之解析度 R=1.0 μm,下列敘述哪些正確?
(A)減速比 i = 12.5:1(B)螺桿之導程 L=6 mm(C)減速比 i = 15:1 (D)螺桿之導程 L=8 mm。
複選題
120. 如下圖所示,有一步進馬達驅動一組定位工作平台,此步進馬達之全步進角度為 1.8°,馬達輸出軸配有一 減速比 12.5:1 之減速齒輪組,齒輪組之輸出軸接至導螺桿。若步進馬達驅動脈波速率 f=3k pps,導螺桿每轉 動 10 圈,滑台移動 50mm,下列敘述哪些正確?
(A)滑台之速度 V=6 mm/sec(B)滑台之速度 V=10 mm/sec(C)螺 桿之導程 L=5 mm(D)螺桿之導程 L=10 mm。
複選題
121. 如下圖所示,有一步進馬達驅動一組定位工作平台,此步進馬達之全步進角度為 0.9°,馬達輸出軸配有一 減速比 5:1 之減速齒輪組,齒輪組之輸出軸接至導螺桿。若步進馬達驅動脈波速率 f=2k pps,導螺桿每轉動 5 圈,滑台移動 50mm,下列敘述哪些正確?
(A)滑台之速度 V=6 mm/sec(B)滑台之速度 V=10 mm/sec(C)螺桿之 導程 L=5 mm(D)螺桿之導程 L=10 mm。
複選題
122. 如下圖所示,有一步進馬達驅動一組定位工作平台,此步進角度為 0.72°,控制時使用半步進功能,馬達輸 出軸配有一減速比 5:1 之減速齒輪組,齒輪組之輸出軸接至導螺桿。若步進馬達驅動脈波速率 f=2k pps,導 螺桿每轉動 5 圈,滑台移動 50mm,下列敘述哪些正確?
(A)滑台之速度 V=4 mm/sec(B)滑台之速度 V=6 mm/s ec(C)螺桿之導程 L=5 mm(D)螺桿之導程 L=10 mm。
複選題
123. 如下圖所示,有一步進馬達驅動一組定位工作平台,此步進馬達之全步進角度為 θ,馬達輸出軸配有一減 速比 8:1 之減速齒輪組,齒輪組之輸出軸接至導螺桿。若步進馬達驅動脈波速率 f=3k pps,導螺桿每轉動 1 0 圈,滑台移動 60mm,此滑台定位之解析度 R=1.5 μm,下列敘述哪些正確?
(A)步進角度 θ= 0.72°(B)滑台 之速度 V=27 cm/min(C)滑台之速度 V=24 cm/min(D)步進角度 θ=0.36°。
複選題
124. 如下圖所示,有一步進馬達驅動一組定位工作平台,此步進馬達之全步進角度為 θ,馬達輸出軸配有一減 速比 6:1 之減速齒輪組,齒輪組之輸出軸接至導螺桿。若步進馬達驅動脈波速率 f=4k pps,導螺桿每轉動 1 0 圈,滑台移動 60mm,此滑台定位之解析度 R=1.0 μm,下列敘述哪些正確?
(A)步進角度 θ= 0.72°(B)滑台 之速度 V=27 cm/min(C)滑台之速度 V=24 cm/min(D)步進角度 θ=0.36°。
複選題
125. 如下圖所示,有一步進馬達驅動一組定位工作平台,此步進馬達之全步進角度為 1.8°,馬達輸出軸配有一 減速比 10:1 之減速齒輪組,齒輪組之輸出軸接至導螺桿。若步進馬達驅動脈波數量 N=20k pulses,導螺桿 每轉動 10 圈,滑台移動 50mm,下列敘述哪些正確?
(A)滑台之移動距離 S=50 mm(B)滑台之移動距離 S=60 mm(C)螺桿之導程 L=10 mm(D)螺桿之導程 L=5 mm。
複選題
126. 如下圖所示,有一步進馬達驅動一組定位工作平台,此步進馬達之全步進角度為 0.9°,馬達輸出軸配有一 減速比 12.5:1 之減速齒輪組,齒輪組之輸出軸接至導螺桿。若步進馬達驅動脈波數量 N=30k pulses,導螺桿 每轉動 10 圈,滑台移動 100mm,下列敘述哪些正確?
(A)滑台之移動距離 S=50 mm(B)滑台之移動距離 S=60 mm(C)螺桿之導程 L=5 mm(D)螺桿之導程 L=10 mm。
複選題
127. 如下圖所示,有一步進馬達驅動一組定位工作平台,此步進角度為 0.72°,控制時使用半步進功能,馬達輸 出軸配有一減速比 12.5:1 之減速齒輪組,齒輪組之輸出軸接至導螺桿。若步進馬達驅動脈波數量 N=30k pul ses,導螺桿每轉動 10 圈,滑台移動 100mm,下列敘述哪些正確?
(A)滑台之移動距離 S=24 mm(B)滑台之移 動距離 S=30 mm(C)螺桿之導程 L=5 mm(D)螺桿之導程 L=10 mm。
複選題
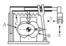
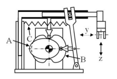
128. 如下圖所示,有一雙凸輪機構,以夾爪為中心點來看,下列敘述哪些正確?
(A)彈簧 C 係使從動件確保接觸 凸輪 A(B)彈簧 C 係使從動件確保接觸凸輪 B(C)水平方向 y 是以凸輪 A 驅動(D)水平方向 y 是以凸輪 B 驅動。
複選題
129. 如下圖所示,有一雙凸輪機構,以夾爪為中心點來看,下列敘述哪些正確?
(A)夾爪的運動路徑為ㄇ字型(B) 夾爪的運動路徑為 L 字型(C)垂直方向 z 是以凸輪 A 驅動(D)垂直方向 z 是以凸輪 B 驅動。
複選題
130. 如下圖所示,為伺服馬達驅動滑台機構圖,減速比 i=3、伺服馬達分解能 P
t
=131072 pulse/rev、電子齒輪比
,如導螺桿每轉動 10 圈,滑台移動 50mm,若欲每輸出 1 pulse 滑台要有 1μm 移動量,下列敘述哪些 正確?
(C)螺桿之導程 L=5 mm(D)螺桿之導程 L=8 mm。
複選題
131. 如下圖所示,為伺服馬達驅動滑台機構圖,減速比 i=5、伺服馬達分解能 P
t
=131072 pulse/rev、電子齒輪比
,如導螺桿每轉動 10 圈,滑台移動 80mm,若欲每輸出 1 pulse 滑台要有 2μm 移動量,下列敘述哪些 正確?
(C)螺桿之導程 L=5 mm(D)螺桿之導程 L=8 mm。
複選題
132. 如下圖所示,為伺服馬達驅動滑台機構圖,減速比 i=3、螺桿導程 L=5 ㎜、伺服馬達分解能 P
t
=131072 pulse /rev、電子齒輪
比 ,如欲每輸出 1 pulse 滑台要有 1.25μm 移動量,若控制脈波頻率 f=80k pps,下列敘 述哪些正確?
(C)滑台移動速度 V=20 cm/sec(D)滑台移動速度 V=10 cm/sec。
複選題
133. 如下圖所示,為伺服馬達驅動滑台機構圖,減速比 i=5、螺桿導程 L=10 ㎜、伺服馬達分解能 P
t
=131072 puls e/rev、電子齒輪比
,如欲每輸出 1 pulse 滑台要有 2.0μm 移動量,若控制脈波頻率 f=100k pps,下列敘 述哪些正確?
(C)滑台移動速度 V=20 cm/sec(D)滑台移動速度 V=10 cm/sec。
複選題
134. 如下圖所示,為伺服馬達驅動滑台機構圖,減速比 i=5、螺桿導程 L=8 ㎜、伺服馬達分解能 P
t
=131072 pulse /rev、電子齒輪比
,若控制脈波頻率 f=150k pps,下列敘述哪些正確?
(A)滑台解析度 R=2.0μm (B)滑台移動速度 V=30 cm/sec(C)滑台解析度 R=1.25μm(D)滑台移動速度 V=18.75 cm/sec。
複選題
135. 如下圖所示,為伺服馬達驅動滑台機構圖,減速比 i=3、螺桿導程 L=5 ㎜、伺服馬達分解能 P
t
=131072 pulse /rev、電子齒輪比
,若控制脈波頻率 f=150k pps ,下列敘述哪些正確?
(A)滑台解析度 R=2.0μ 12 m(B)滑台移動速度 V=30 cm/sec(C)滑台解析度 R=1.25μm(D)滑台移動速度 V=18.75 cm/sec。
複選題
136. 如下圖所示,為伺服馬達驅動滑台機構圖,減速比 i=5、螺桿導程 L=8 ㎜、伺服馬達分解能 P
t
=131072 pulse /rev、電子齒輪比
,如欲每輸出 1 pulse 滑台要有 2.0μm 移動量,若控制脈波頻率 f,滑台的移動速度 V =30 cm/sec,下列敘述哪些正確?
(A)f=150k pps(B)f=200k pps
複選題
137. 如下圖所示,為伺服馬達驅動滑台機構圖,減速比 i=3、螺桿導程 L=5 ㎜、伺服馬達分解能 P
t
=131072 pulse /rev、電子齒輪比
,如欲每輸出 1 pulse 滑台要有 1.5μm 移動量,若控制脈波頻率 f,滑台的移動速度 V =30 cm/sec,下列敘述哪些正確?
(A)f=150k pps(B)f=200k pps
複選題
138. 如下圖所示,為伺服馬達驅動滑台機構圖,減速比 i=5、螺桿導程 L=8 ㎜、伺服馬達分解能 P
t
=131072 pulse /rev、電子齒輪比
,如欲每輸出 1 pulse 滑台要有 2.0μm 移動量,若脈波輸出數量 N=100k pulses,下列 敘述哪些正確?
(C)移動距離 S=20 cm(D)移動距離 S=15 cm。
複選題
139. 如下圖所示,為伺服馬達驅動滑台機構圖,減速比 i=3、螺桿導程 L=5 ㎜、伺服馬達分解能 P
t
=131072 pulse /rev、電子齒輪比
,如欲每輸出 1 pulse 滑台要有 1.0μm 移動量,若脈波輸出數量 N=150k pulses,下列 敘述哪些正確?
(C)移動距離 S=20 cm(D)移動距離 S=15 cm。
複選題
140. 如下圖所示,為伺服馬達驅動滑台機構圖,減速比 i=5、螺桿導程 L=8 ㎜、伺服馬達分解能 P
t
=131072 pulse /rev、電子齒輪比
,若滑台的移動距離 S =30 cm,下列敘述哪些正確?
(A)滑台解析度 R=1.5μm (B)所需脈波數量 N=200k pulses(C)滑台解析度 R=1.25μm(D)所需脈波數量 N=160k pulses。
複選題
141. 如下圖所示,為伺服馬達驅動滑台機構圖,減速比 i=3、螺桿導程 L=5 ㎜、伺服馬達分解能 P
t
=131072 pulse /rev、電子齒輪比
,若滑台的移動距離 S =20 cm,下列敘述哪些正確?
(A)滑台解析度 R=1.5μm 13 (B)所需脈波數量 N=200k pulses(C)滑台解析度 R=1.25μm(D)所需脈波數量 N=160k pulses。
複選題
142. 滾珠螺桿所帶動之機構,下列敘述哪些正確?(A)螺桿之螺距愈小,則定位精度愈高(B)螺桿之螺距愈大,則 帶動馬達馬力需愈大(C)與時規皮帶帶動之機構比較,有較高的移動速度(D)螺桿之螺距愈大,則移動速度也 愈快。
複選題
143. 自動化機械在量產時,可以下列哪些模式運轉?(A)步進(B)單一循環(C)連續循環(D)寸動操作。
複選題
144. 自動化機械在調整機械位置或試車時,常以下列哪些模式運轉?(A)步進(B)單一循環(C)連續循環(D)寸動操作。
複選題
145. 有關機構之敘述,下列敘述哪些正確?(A)機構加裝減速齒輪組可提升其定位解析度(B)在等速驅動下搖桿與 滑塊機構具有慢去快回變換特性(C)以凸輪做為四分度分割機,其分配角為 270 度,停止角為 90 度(D)日內瓦 機構能將等速旋轉運動轉換為間歇性旋轉輸出之變換機構。
複選題
146. 有關機構之敘述,下列敘述哪些正確?(A)機構加裝減速齒輪組可提升其輸出功率(B)凸輪機構能將等速連續 運動轉換成從動件的連續或不連續、等速或不等速的運動(C)以凸輪做為四分度分割機,其分配角為 90 度, 停止角為 270 度(D)日內瓦機構能將等速旋轉運動轉換為連續性旋轉輸出之變換機構。
複選題
147. 下列哪些機構可做為連續輸入間歇分度輸出機構?(A)日內瓦機構(B)齒條與小齒輪機構(C)滾齒凸輪機構(D)曲 柄與直線滑台機構。
複選題
148. 下列哪些機構不適合做為雙向控制用?(A)日內瓦機構(B)蝸桿與蝸輪機構(C)螺桿與直線滑台機構(D)平行分度 凸輪機構。
複選題
149. 下列哪些機構屬於旋轉輸入旋轉輸出之轉換機構?(A)日內瓦機構(B)活塞與曲柄機構(C)行星齒輪機構(D)蝸桿 與蝸輪機構。
申論題 (0)