阿摩線上測驗
登入
首頁
>
技檢◆機電整合-乙級
> 105年 - 17000 機電整合 乙級 工作項目 05:電動機選用 101-130#40984
105年 - 17000 機電整合 乙級 工作項目 05:電動機選用 101-130#40984
科目:
技檢◆機電整合-乙級 |
年份:
105年 |
選擇題數:
30 |
申論題數:
0
試卷資訊
所屬科目:
技檢◆機電整合-乙級
選擇題 (30)
101. 如下圖為伺服馬達驅動滑台機構圖,減速比 i=5、螺桿導程 L=8 ㎜、伺服馬達分解能 Pt=131072 pulse/rev、電 子齒輪比
,若滑台的移動距離 S =30 cm,則脈波輸出數量 N 為(A)90k(B)120k(C)150k(D)180k pulses。
102. 如下圖為伺服馬達驅動滑台機構圖,減速比 i=3、螺桿導程 L=6 ㎜、伺服馬達分解能 Pt=131072 pulse/rev、電 子齒輪比 =
,若滑台的移動距離 S=30cm,則脈波輸出數量 N 為(A)90k(B)120k(C)150k(D)180k pulses。
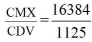
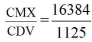
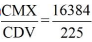
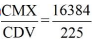
103. 如下圖為伺服馬達驅動旋轉轉盤機構圖,齒規皮帶組減速比 i=4、伺服馬達分解能 Pt=131072 pulse/rev,若每 輸出 1 pulse 欲得旋轉轉盤之分解能力 λ=0.01°,則電子齒輪比
為(A)
(B)
(C)
(D)
。
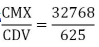
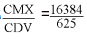
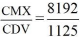
104. 如下圖為伺服馬達驅動旋轉轉盤機構圖,齒規皮帶組減速比 i=4、伺服馬達分解能 Pt=131072 pulse/rev,若每 輸出 1 pulse 欲得旋轉轉盤之分解能力 λ=0.005°,則電子齒輪比
為(A)
(B)
(C)
(D)
。
105. 如下圖為伺服馬達驅動旋轉轉盤機構圖,齒規皮帶組減速比 i=4、伺服馬達分解能 Pt=131072 pulse/rev,若脈 波輸出速率 f=20k pps、旋轉轉盤之轉速 n=120rpm,則電子齒輪比
為(A)
(B)
(C)
(D)
。
106. 如下圖為伺服馬達驅動旋轉轉盤機構圖,齒規皮帶組減速比 i=4、伺服馬達分解能 Pt=131072 pulse/rev,若脈 波輸出速率 f=32k pps、則旋轉轉盤之轉速 n=150rpm,則電子齒輪比
為(A)
(B)
(C)
(D)
。
107. 如下圖為伺服馬達驅動旋轉轉盤機構圖,齒規皮帶組減速比 i=4、伺服馬達分解能 Pt=131072 pulse/rev,若脈 波輸出速率 f=25k pps、電子齒輪比
,則旋轉轉盤之轉速 n 為(A)150(B)180(C)210(D)240 rpm。
108. 如下圖為伺服馬達驅動旋轉轉盤機構圖,齒規皮帶組減速比 i=4、伺服馬達分解能 Pt=131072 pulse/rev,若脈 波輸出速率 f=20k pps、電子齒輪比
,則旋轉轉盤之轉速 n 為(A)150(B)180(C)210(D)240 rpm。
109. 如下圖為伺服馬達驅動旋轉轉盤機構圖,齒規皮帶組減速比 i=2.5、伺服馬達分解能 Pt=131072 pulse/rev,若 脈波輸出數量 N=50k pulses、電子齒輪比
,則旋轉轉盤之旋轉圈數為(A)2.4(B)3.2(C)4.0(D)4.8 轉。
110. 如下圖為伺服馬達驅動旋轉轉盤機構圖,齒規皮帶組減速比 i=2.5、伺服馬達分解能 Pt=131072 pulse/rev,若 脈波輸出數量 N=60k pulses、電子齒輪比
,則旋轉轉盤之旋轉圈數為(A)2.4(B)3.2(C)4.0(D)4.8 轉。
複選題
111. 有關交流伺服馬達,下列敘述哪些正確?(A)控制上較為複雜(B)適合較高轉速場合(C)使用的電流量較小(D)僅適 合較大功率使用。
複選題
112. 有關 12 bit 線性 DAC 模組,其輸出電壓為 0 ~10V(0 ~4000),如欲輸出 2.5V 之電壓,下列敘述哪些正確?(A) 本模組解析度為 2.50 mV(B)本模組解析度為 1.25 mV(C)數位值需給 2000(D)數位值需給 1000。
複選題
113. 有關 12 bit 線性 DAC 模組,其輸出電壓為 0 ~5V(0 ~4000),如欲輸出 2.5V 之電壓,下列敘述哪些正確?(A)本 模組解析度為 2.50 mV(B)本模組解析度為 1.25 mV(C)數位值需給 2000(D)數位值需給 1000。
複選題
114. 有關線性 ADC 模組,下列敘述哪些正確?(A)相同 bits 數之 ADC 模組,供應電壓範圍愈小,可量測到的變化 值愈小(B)使用時需考慮最小解析度及輸入範圍(C)使用時輸入電壓需選擇最大之輸入範圍(D)12bits 比 10bits 之 ADC,有較佳的解析度。
複選題
115. 有關減速機之敘述,下列敘述哪些正確?(A)減速比愈大,輸出扭矩愈大(B)減速比愈大,輸出轉速愈大(C)減速 比愈大,機械效率(efficiency)愈大(D)減速比愈大,機械利益(effect)愈大。
複選題
116. 下列哪些是影響 AC 感應馬達停止時過轉量的因素?(A)轉速(B)慣量(C)電壓(D)剎車力。
複選題
117. 有關電動機,下列敘述哪些正確?(A)電動機運轉原理是依據佛萊明左手定則(B)電動機的符號為
(C) 感應式電動機轉速不受驅動電源頻率影響(D)三相驅動電動機比單相驅動效率高。
複選題
118. 有關電動機,下列敘述哪些正確?(A)電動機運轉原理是依據佛萊明右手定則(B)電動機的符號為
(C) 感應式電動機轉速會受驅動電源頻率影響(D)三相驅動電動機比單相驅動效率低。
複選題
119. 馬達與機械連接時安裝聯軸器之目的與特性為何?(A)功率或轉矩的傳輸(B)增加機械的可撓性(C)具減震效果 (D)增加傳遞功率。
複選題
120. 有關伺服電動機,下列敘述哪些正確?(A)直流馬達之轉子是由線圈組成的(B)交流同步馬達之轉子是永久磁鐵 組成,定子是由線圈組成(C)在定輸出扭矩運轉區域時,其轉速越高則輸出功率越高(D)在等輸出功率運轉區域 時,其轉速越高則輸出扭矩越大。
複選題
121. 有關伺服電動機,下列敘述哪些正確?(A)直流馬達之轉子是由永久磁鐵組成的(B)交流同步馬達之轉子是永久 磁鐵組成,定子是由線圈組成(C)在定輸出扭矩運轉區域時,其轉速越高則輸出功率越高(D)在等輸出功率運轉 區域時,其轉速越高則輸出扭矩越小。
複選題
122. 有一含減速機構之直流馬達的工作電壓及電流分別為 24V 及 5A,則下列敘述哪些錯誤?(A)其有效輸出功率 約為 120W(B)其有效輸出功率大於 120W(C)其有效輸出功率小於 120W(D)其有效輸出功率約為 120/373 Hp。
複選題
123. 有關步進馬達,下列敘述哪些正確?(A)步進角度越小,則其定位解析度越佳(B)控制命令頻率越快,則其轉速 越高(C)正常運轉時,其步進數與控制脈衝數成正比(D)永磁步進馬達在靜止時,不具有相當的保持力。
複選題
124. 有關步進馬達,下列敘述哪些正確?(A)步進角度越小,則其定位解析度越差(B)控制命令頻率越快,則其轉速 越高(C)正常運轉時,其步進數與控制脈衝頻率成正比(D)永磁步進馬達在靜止時,仍具有相當的保持力。
複選題
125. 有關導螺桿機構,下列敘述哪些正確?(A)導螺桿之導程與工作平台之位移解析度有關(B)減速機與工作平台之 位移解析度有關(C)減速機的背隙越小時,表示減速機的機械精度愈高(D)減速機與工作平台之速度無關。
複選題
126. 有關導螺桿機構,下列敘述哪些正確?(A)導螺桿之導程與工作平台之位移解析度無關(B)減速機與工作平台之 位移解析度有關(C)減速機的減速比越高,其傳動效率越高(D)減速機與工作平台之速度有關。
複選題
127. 如下圖所示,為伺服馬達驅動旋轉轉盤機構圖,齒規皮帶組減速比 i=4、伺服馬達分解能 Pt=131072 pulse/rev, 每輸出 1 pulse 可得旋轉轉盤之分解能力 λ=0.01°,若控制脈波頻率 f=30k pps,下列敘述哪些正確?(A)
(B)
(C)旋轉盤之轉速 n=50 rpm(D)旋轉盤之轉速 n=30 rpm。
複選題
128. 如下圖所示,為伺服馬達驅動旋轉轉盤機構圖,齒規皮帶組減速比 i=4、伺服馬達分解能 Pt=131072 pulse/rev, 每輸出 1 pulse 可得旋轉轉盤之分解能力 λ=0.005°,若控制脈波頻率 f=36k pps,下列敘述哪些正確?(A)旋轉 盤之轉速 n=50 rpm(B)旋轉盤之轉速 n=30 rpm(C)
(D)
。
複選題
129. 如下圖所示,為伺服馬達驅動旋轉轉盤機構圖,齒規皮帶組減速比 i=4、伺服馬達分解能 Pt=131072 pulse/rev, 55 每輸出 1 pulse 可得旋轉轉盤之分解能力 λ=0. 10°,若控制脈波數量 N=360k pulses,下列敘述哪些正確?(A)
(B)
(C)旋轉盤之轉動圈數為 25 圈(D)旋轉盤之轉動圈數為 100 圈。
複選題
130. 如下圖所示,為伺服馬達驅動旋轉轉盤機構圖,齒規皮帶組減速比 i=4、伺服馬達分解能 Pt=131072 pulse/rev, 每輸出 1 pulse 可得旋轉轉盤之分解能力 λ=0.005°,若控制脈波數量 N=180k pulses,下列敘述哪些正確?(A) 旋轉盤之轉動圈數為 100 圈(B)旋轉盤之轉動圈數為 25 圈(C)
(D)
。
申論題 (0)
相關試卷
114年 - 17000 機電整合 乙級 工作項目 08:維修 1-68(2025/12/26 更新)#135806
114年 · #135806
114年 - 17000 機電整合 乙級 工作項目 07:試車與調整 1-65(2025/12/26 更新)#135805
114年 · #135805
114年 - 17000 機電整合 乙級 工作項目 06:控制器的使用 51-118(2025/12/26 更新)#135804
114年 · #135804
114年 - 17000 機電整合 乙級 工作項目 06:控制器的使用 1-50(2025/12/26 更新)#135803
114年 · #135803
114年 - 17000 機電整合 乙級 工作項目 05:電動機選用 101-141(2025/12/26 更新)#135802
114年 · #135802
114年 - 17000 機電整合 乙級 工作項目 05:電動機選用 51-100(2025/12/26 更新)#135801
114年 · #135801
114年 - 17000 機電整合 乙級 工作項目 05:電動機選用 1-50(2025/12/26 更新)#135800
114年 · #135800
114年 - 17000 機電整合 乙級 工作項目 04:電控、感測、轉換元件認識 51-98(2025/12/26 更新)#135799
114年 · #135799
114年 - 17000 機電整合 乙級 工作項目 04:電控、感測、轉換元件認識 1-50(2025/12/26 更新)#135798
114年 · #135798
114年 - 17000 機電整合 乙級 工作項目 03:氣壓、油壓系統、迴路設計 151-177(2025/12/26 更新)#135797
114年 · #135797