10. Figure 5 illustrates a particle accelerator called cyclotron. It is composed of two hollow metal semicircular containers D1 and D2, and a source of charged particle, e.g., proton, at the center. A high frequency alternating electric potential is applied to D1 and D2, which will generate an alternating electric field
in the gap between D1 and D2. A uniform and static magnetic field B is applied vertically to bend the trajectory of a charged particles in a cyclotron. In order to accelerate the charged particle, at each time when the particle passes the gap, one has to change the direction of
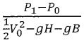
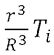
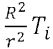
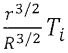
. Please calculate the angular frequency of the alternating electric voltage in terms of particle mass m, charge e, magnitude of the static magnetic field
.
(A)
(B)
(C)
(D)