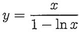
3. (25%) Sketch the graphs of
.
(You need to describe (a) domain, (b) intercepts, (c) asymptotes (horizontal and vertical if any), (d) intervals of increasing and decreasing, (e) local maximum and minimum values, (f) interval of concavity, (g) points of iniection and (h) sketch the curve.)