所屬科目:高中指考◆數學甲
1. 設 f (x)=8x3-4x-1,請問極限 之值為下列哪一個選項? (A) 0 (B) 3 (C) 12 (D) 15 (E) 20
2. 在△ABC 中,已知 ∠B = 60 ° 、 ∠C=45° ,且知 △ABC 之面積為,則其最短邊長為下列哪一個選項 ? (A) (B)(C) (D) (E)
3. 坐標空間中有一長度為 17 的線段, 若在 xy 平面、 yz 平面上正射影的長度 分別為 11、 , 則 在 zx 平面上正射影的長度為 下列哪一個選項 ? (A) 11 (B) 12 (C) 13 (D) 14 (E) 15
4. 因應民眾對肉品安全的疑慮,某研究機構研發了一種毒物試劑,宣稱如果肉品內含有此種毒物,一定可以檢測出來,但是有 5% 的機率會將不含該毒物的肉品 誤判為含有該毒物。假設已知某一批進口肉品,其中 有 0.2%含有此毒物,今隨機抽驗該批肉品中之一包,檢體被檢測出含有該毒物。若依該機構宣稱之檢測 率,請問該檢體確實含有該毒物的機率 P 滿足下列哪一個選項? (A) P < 0.03 (B) 0.03 ≤ P< 0.04(C) 0.04 ≤P<0.05 (D) 0.05≤ P<0.1 (E) P≥ 0.1
6. 坐標平面上,直線 x=a(a>0)與函數y = log2 x、 y = log4 x 的圖形分別交於點 A、 B 。 以da表示此兩點距離(即),請選出正確的選項。 (A) (B) d8= d1/18 (C) d3+d5<2 (D) 對任意正數 a , da恆小於 8 (E) 若 r ,s ,t 三數皆大於 1 且成等比數列,則
8. 關於函數f(x)= cosx- sin x ,其中 x 為任意實數,請選出正確的選項。 (A)f(x)有最大值 (B)f(x) 是一個週期函數,其最小正週期為 2π (C) y=f(x) 的圖形對稱於直線(D)y= f(x)的圖形與 x 軸的交點中,離原點最近的為 (E)y= f(x)的圖形對稱於原點
9. 設實數 a,b,c,d滿足 a2+b2=1且(c-3)2+(d -4)2=4,請選出正確的選項。 (A) a(c-3)+b(d -4)的最大值為 2 (B) ac + bd的最大值為 8 (C) 行列式的最大值為 7 (D) 僅有一組 a,b,c,d使 得 ac +bd 之值最大 (E) 僅有一組 a, b, c, d使得行列式之值最大
A. 若坐標空間中通過點 A(1,3,2)、 B(5,2,0)且與直線平行的平面方程式為ax+ by+cz=1, 則 (a,b,c) = ( __⑩__ , __⑪⑫__ ,__⑬__)。
(2) 若f(x)又滿足 ,試求 f ( x ) 。( 5 分 )
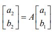
(1) 試求二階方陣 A 使得。( 3 分 )
(2) A 如 (A),試求最小正整數 n ,使得 。( 4 分 )