所屬科目:有機化學
(一) A(C4H6O):IR 3040(m), 3010(m), 2985(m), 2955(m), 2927(m), 2820(ms), 2740(ms), 1697(vs), 1644(vs), 1630(ms), 1448(s), 1395(ms), 1380(ms), 1207(m), 1150(vs), 1080(s), 970(vs), 934(s) .
(二) B():NMR δ 1.33(s, 6H), 3.13(s, 6H).
(三) C():IR; NMR δ 1.21(t, 3H), 2.65(q, 2H), 3.85(s, 3H), 7.23(d, 2H), 7.92(d, 2H).
三、已知苯甲酸的 pKa 值為 4.19,4-羥基苯甲酸與 3-羥基苯甲酸的 pKa 值分別為 4.48 與 4.07。請說明為何羥基在對位使酸性變小;而羥基在間位使酸性變大。 (10 分)
(一)
(二)
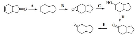
五、寫出完成下列反應流程所需的試劑(A~E)。(每小題 2 分,共 10 分)
六、寫出下列反應過程中,由 2-胺基苯甲酸(A)至苯炔(C)之反應機構。 (10 分)
(三)
(四)
(五)