所屬科目:捷運◆基本電學及機械概論
1. 如圖所示之電路,電流 I 的大小為何?(A) 0 (B) 2 (C) 4 (D) 6
2. 若 伏特與݅安培,可知V(t)與݅i(t)之間的相位關係為(A)v超前i 30° (B) v落後i 30° (C) v超前i 90° (D) v落後i 90°
3. 電阻 ܴR1,電感 L1 及電容C1串聯所構成的電路如下圖,電源電壓 ݁e1的頻率為諧振頻率,下列 敘述何者正確? (A) 電流 ݅i1 的相位領前電壓݁e1(B) 電流j1的相位落後電壓݁e1 (C) 電流 ݅j1的相 位與電壓݁e1 同相 (D) 電路的總阻抗最大
4. 下圖電路等效阻抗,負載阻抗 ܼZL 欲得最大功率輸出,則ܼ ܼZL應調整為(A) (B) ܴ (C) (D)
7.單相負載的端電壓 ,ܸ 負載電流,則此負載的平均實功 率為 (A) 400cos 30° W (B) 200cos 30° W (C) 200cos 30° W (D) 400sin 30° W
15. 一臺三相 Y 接線發電機接於三個 100 Ω 純電阻的 Y 連接之平衡電路,若線電壓為 120 V,其總 消耗功率為: (A) 432 W (B) 144 W (C) 144 W (D) 204 W
16. 一個電阻 R 與電感 L 的串聯電路,則此電路時間常數τ 為:(A)(B) LR(C) (D)
19. 某導磁材料其磁通流經的截面積為 200cm2,磁通密度為 0.5T,且均勻分布,則此磁通量為 (Wb): (A) (B) (C) (D)
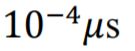
21. 請問 10 奈秒(ns)等於?(A) (B)(C) (D)
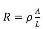
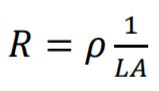
24. 有關導體電阻 R 的計算,其中ߩ為電阻係數, L 為導體長度, A 為截面積,下列何者正確?(A) (B) (C) ܴ(D)
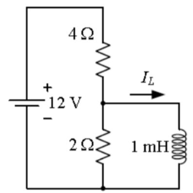
25. 下圖電路穩態電流IL 為(A) 3 A (B) 2 A (C) 1 A (D) 0 A