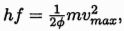
17. Light strikes a plate in an evacuated chamber. The result is that electrons are etnitted from the plate P and are collected by C. In the process a single'photon gives up all its energy to a singje electron. The maximum poasible kinetic energy of the photoelectrons,
, is related to the energy of a photon, hf, by (Φ is work function) (A)
(B)
(C)
(D) hf = 함mยma로 (E) none of the above.