阿摩線上測驗
登入
首頁
>
技檢◆電腦輔助機械設計製圖-乙級
> 107年 - 107年 電腦輔助機械設計製圖 乙級 工作項目07:實物測繪 1-100#41635
107年 - 107年 電腦輔助機械設計製圖 乙級 工作項目07:實物測繪 1-100#41635
科目:
技檢◆電腦輔助機械設計製圖-乙級 |
年份:
107年 |
選擇題數:
100 |
申論題數:
0
試卷資訊
所屬科目:
技檢◆電腦輔助機械設計製圖-乙級
選擇題 (100)
1. 一般機件如需實物測繪時,其草圖繪製方法為(A)徒手鉛筆畫(B)儀器鉛筆畫(C)徒手上墨畫(D)儀器上墨畫。
2. 測繪如下圖為不規則外形且有一平面之零件時,可用下列何種方法取得正確的形狀?
(A)目測法(B)刮印法(C) 拓印法(D)攝影法。
3. 繪製實物測繪草圖時,其線條粗細為(A)全部用粗線(B)全部用中線(C)全部用細線(D)依線條用途繪製。
4. 繪製草圖時,圖形的大小與實物之關係為(A)1:1 繪製(B)2:1 繪製(C)儘量放大(D)依適當大小繪製。
5. 車床尾座頂心孔錐度為(A)傑可布斯錐度(Jacok's)(B)莫氏錐度(Morse)(C)伯朗夏普錐度(Brown&Sharpe)(D)嘉諾錐 度(Jarno)。
6. 測量下圖物件之盲孔(直徑小於 3mm)深度 L,其優先選用之測量工具為
(A)深度分厘卡(B)游標深度尺(C)游標 卡尺(D)細圓棒轉量。
7. 測繪 V 型槽繩輪時,其夾角為(A)14°(B)35°(C)40°(D)55° 以上。
8. 測繪錐形離合器時,其正常半圓錐角不得小於(A)8°(B)24°(C)45°(D)60°。
9. 洛氏 C 硬度(HRc)所用的壓痕器為(A)120°金鋼石圓錐(B)136°金鋼石方錐(C)ψ1/16"鋼球(D)ψ10mm 鋼球。
10. 洛氏 B 硬度(HRb)試片所用的荷重為(A)45kgf(B)60kgf(C)100kgf(D)150kgf。
11. 利用小金鋼石圓錐,由一定高度自由落下撞衝試片之後反跳至某一高度,來量測材料硬度的試驗方法為(A) 勃氏硬度試驗(B)洛氏硬度試驗(C)維氏硬度試驗(D)蕭氏硬度試驗。
12. 鋼之主要元素為鐵和碳,而鋼的碳含量範圍,一般定義在(A)0.02%以下(B)0.02%~2%之間(C)2%~3%之間 (D)3%以上。
13. 一般構造用鋼 SS400,其中的「400」表示(A)含碳量 0.40%(B)伸長率 40%(C)抗拉強度 400N/mm2(D)HRc 硬度 4 00。
14. 機械構造用鋼 S45C,其中的「45」表示(A)含碳量 0.45%(B)伸長率 45%(C)抗拉強度 45N/mm2(D)含鐵量 45%。
15. 不銹鋼的合金元素能對鋼的表面產生氧化膜,且對鋼具有保護作用的元素為(A)銅(B)鉻(C)錳(D)鎳。
16. 滲碳用鋼材,一般採用(A)純鐵(B)低碳鋼(C)中碳鋼(D)高碳鋼。
17. 氮化用鋼碳含量一般約在(A)0.02%~0.2%(B)0.2%~0.5%(C)0.5%~0.8%(D)0.8%~1.2%。
18. 一般常用的游標萬能量角器精度可達(A)1"(B)5"(C)10"(D)30"。
19. 精度為 0.05mm 的游標卡尺,設本尺一格為 1mm,而游尺取 19mm 長,則游尺上的刻劃有(A)20 格(B)30 格(C)4 0 格(D)50 格。
20. M型游標卡尺無法直接測量工件的(A)深度(B)階級差(C)內徑(D)錐度。
21. 螺紋分厘卡是用來量測螺紋的(A)底徑(B)外徑(C)節徑(D)牙深。
22. 測量螺栓或螺帽每吋螺紋數,最常用的量具為(A)鋼尺(B)螺距規(C)螺紋分厘卡(D)螺紋樣規。
23. 一般分厘卡主軸之螺距為(A)0.5mm(B)1mm(C)2.5mm(D)5mm。
24. 測量齒輪之跨齒厚應使用(A)尖頭分厘卡(B)球面分厘卡(C)圓盤分厘卡(D)扁頭分厘卡。
25. 游標高度規的精度可達(A)0.02mm(B)0.04mm(C)0.06mm(D)0.08mm。
26. 表面織構參數代號,表示算術平均粗糙度的符號是(A)Ra(B)Rz(C)Rt(D)RMS。
27. 量錶測軸之有效量程,規定至少要能使指針迴轉(A)1 圈(B)2 圈(C)2.5 圈(D)5 圈。
28. 表面織構參數代號,表示最大高度粗糙度的符號是(A)Ra(B)Rz(C)Rp(D)RMS。
29. 下圖分厘卡的讀數為
(A)6.20mm(B)6.70mm(C)7.20mm(D)8.20mm。
30. 下圖箭頭所指處表示刻度對齊,分厘卡的讀數為
(A)6.702mm(B)6.722mm(C)7.202mm(D)7.222mm。
31. 下圖箭頭所指處表示刻度對齊,游標卡尺的讀數為
(A)6.665mm(B)66.65mm(C)7.265mm(D)72.65mm。
32. 下圖箭頭所指處表示刻度對齊,游標卡尺的讀數為
(A)6.332mm(B)63.32mm(C)6.832mm(D)68.32mm。
33. 一般用來簡單迅速鑑定不明鋼質材料的實驗為(A)拉伸試驗(B)硬度試驗(C)超音波試驗(D)火花試驗。
34. 鋼材以砂輪機研磨,若火花為暗紅色,流線甚短且分裂的數量多,則可能為(A)低碳鋼(B)中碳鋼(C)高碳鋼(D) 純鐵。
35. 下列材料中導電性和導熱性最佳者為(A)鋁(B)鐵(C)銅(D)鋅。
36. 一般銅製之軸承襯套,其材質大都為(A)FC200(B)BC3(C)SUS304(D)S45C。
37. 下列何者為一般灰鑄鐵的材料編號?(A)FC200(B)S20C(C)SCr430(D)SUS304。
38. 下列何者為中碳鋼的材料編號?(A)FCD400(B)S45C(C)SNC415(D)SK7。
39. 鋼的表面硬化法,其熱處理方式可為(A)正常化(B)調質(C)回火(D)火焰淬火。
40. 軸、齒輪、彈簧,為了增加耐磨耗性和疲勞限,通常可再施予(A)表面硬化處理(B)均質處理(C)調質處理(D)正 常化。
41. 常用卷尺上的最小刻度為(A)0.5mm(B)1mm(C)5mm(D)10mm。
42. 卡鉗一般與(A)鋼尺(B)卷尺(C)游標卡尺(D)分厘卡 配合使用。
43. 公制螺距規在每一片鋼片上所刻的數字是代表(A)螺紋數(B)螺距大小(C)螺紋標稱直徑(D)螺紋角大小。
44. 一對模數為 2 之正齒輪,大齒輪 30 齒,小齒輪 10 齒,若外接時,其中心距為(A)80mm(B)60mm(C)40mm(D)20 mm。
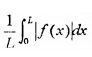
45. 下圖為測量長度 L 範圍內的表面粗糙度曲線 f(x),若以
之計算式所求得的表面粗糙度之值為
(A)Ra(B)Rz(C)Rmax(D)R.M.S.。
46. 下圖工件的角度 θ 為
(A)cos
-1
L/H(B)cos
-1
H/L(C)sin
-1
L/H(D)sin
-1
H/L。
47. 測繪鑽床主軸孔時,其錐度為(A)傑可布斯錐度(Jacok's)(B)莫氏錐度(Morse)(C)伯朗夏普錐度(Brown&Sharpe)(D) 嘉諾錐度(Jarno)。
48. 實物測繪時,相同線徑及外徑之壓縮彈簧,其圈數愈多,可判斷出(A)彈簧係數(K)愈大(B)彈簧係數(K)愈小 (C)彈性愈強(D)無法分辨。
49. 量表無法應用於量測(A)真圓度(B)平行度(C)表面粗糙度(D)平面度。
50. 螺紋牙規之用途,為量測(A)螺紋外徑(B)螺紋節徑(C)螺紋根徑(D)螺紋螺距。
51. 下列敘述何者正確?(A)英制螺紋之螺距以每節距多少距離為標註(B)公制螺紋之螺距以每吋之牙數為標註(C) LH 為右螺紋之標註(D)一般螺紋公差為 6H/6g。
52. 花崗石平台之主要特性為(A)不易變形(B)易受溫度影響(C)易感磁性(D)使用壽命短。
53. 下列何者為正確?(A)公制齒輪以徑節(Diametrialpitch)表示齒形大小(B)公制齒輪以模數(Module)表示齒隙大小 (C)徑節(Diametrialpitch)愈大,齒形愈大(D)模數(Module)愈大,齒形愈大。
54. 分厘卡轉軸旋轉一圈,轉軸位移 0.5mm,則此分厘卡轉軸之螺距為(A)0.25mm(B)0.5mm(C)1mm(D)2mm。
55. 一般所採用材料 SUS304 為(A)鋁合金(B)中碳鋼(C)不銹鋼(D)複合材料。
56. 下列何者屬於硬度之表示法的一種?(A)HB(B)HC(C)HD(D)HE。
57. 退火的目的為(A)使鋼件變軟(B)使鋼件變硬(C)使強度增加(D)使組織微細化。
58. 公制標準推拔銷,其錐度為(A)1:10(B)1:20(C)1:50(D)1:100。
59. 為使鋼料淬水後之殘留沃斯田鐵繼續變態完成,可使用何種方法增加強度,穩定尺度?(A)退火(B)球化處理 (C)正常化處理(D)深冷處理。
60. 萬能角度規主圓盤刻度之 11°,作為游標刻度 12 等分,則其精度為(A)1 分(B)2 分(C)5 分(D)10 分。
61. 一般槓桿式量表之最小讀數為(A)2μm(B)5μm(C)10μm(D)20μm。
62. 下列何者為不銹鋼之表面處理?(A)磷酸鹽(B)鈍化(C)鍍鉻(D)黑氧。
63. 鋼鐵機件鍍鉻,主要功能為(A)增加附著力(B)使表面軟化(C)提高摩擦係數(D)耐磨耗。
64. 實物測繪繪製草圖時,下列敘述何者正確?(A)尺度不必太過精確(B)切忌量測錯誤或遺漏(C)可全部採用實線 繪製(D)不可在草圖中填寫註解。
65. 游標高度尺可量測(A)孔距(B)螺距(C)表面粗糙度(D)齒隙。
66. 同一機件有數個視圖時,其表面織構符號(A)集中註於一個視圖上(B)分別註於適當之相關面上(C)不須另註(D) 限制註明。
67. 鉋削鑄件,其稜角易生崩裂現象,應如何解決?(A)減慢切削速率(B)增加切削速率(C)去除稜角(D)加注切削劑。
68. 下列之各種表面硬化法,何者不需再行淬火處理?(A)氮化法(B)滲碳法(C)氰化法(D)火焰硬化法。
69. 線規是用以測量金屬線的(A)直徑(B)長度(C)硬度(D)強度。
70. 俗稱之馬口鐵及白鐵皮即(A)前者鍍鋅,後者鍍錫(B)前者鍍錫,後者鍍鉻(C)前者鍍錫,後者鍍鋅(D)前者鍍鎘, 後者鍍鋅 之鐵皮。
71. 使用槓桿式量錶測量時,測桿與工作物面間之夾角,為了避免測量所發生的偏差,最好在(A)5°(B)10°(C)15°(D)2 0° 以下。
72. 中碳鋼含碳量約為(A)0.02~0.08%(B)0.10~0.25%(C)0.28~0.50%(D)0.60~1.7%。
73. 塊規(規矩塊)依精度等級,一般分為(A)1、2、3、4 四級(B)00、01、1、2 四級(C)00、0、1、2 四級(D)0、1、2、 3 四級。
74. 小孔規用來測量小孔,其本身並無刻度,測量後應使用(A)直尺(B)分厘卡(C)內卡(D)外卡 測定其尺度。
75. 碳鋼中,何種元素可增加耐蝕性?(A)錳(B)銅(C)矽(D)硫。
76. 鑽削工作,鑽頭直徑與轉數之關係為(A)鑽頭直徑大,轉速要快(B)鑽頭直徑小,轉速要快(C)鑽頭直徑小,轉 速要慢(D)兩者無關係。
77. 公制內徑分厘卡可測得之最小孔徑為(A)0(B)5(C)10(D)15 mm。
78. 使用正弦桿需與(A)分厘卡(B)游標卡尺(C)塊規(D)直尺 配合使用。
79. 一般機器之切削加工,其精度約在(A)IT1 至 IT4(B)IT1 至 IT8(C)IT5 至 IT10(D)IT11 至 IT16。
80. 組合圖中,下列機件可以沿中心線剖切的是(A)軸(B)鍵(C)鉚釘(D)皮帶輪。
81. 金屬材料之衝擊試驗,可獲知材料的(A)強度及延性(B)硬度及展性(C)韌性及脆性(D)強度及硬度。
82. 適合大量生產檢驗用,而不太適合於實物測繪用的是(A)游標卡尺(B)界限量規(C)卡鉗(D)分厘卡。
83. 正弦桿是用來測量(A)長度(B)角度(C)深度(D)直徑 的精密量具。
84. 螺紋之三線測量法是用來測量螺紋的(A)牙數(B)外徑(C)節徑(D)小徑。
85. 精密銑削面之表面粗糙度值可達(A)Ra0.8~Ra0.2(B)Ra1.6~Ra0.8(C)Ra3.2~Ra1.6(D)Ra6.3~Ra3.2。
86. 分厘卡的砧座測量面之平面度校正可用(A)規矩塊(B)角度規(C)光學平鏡(D)標準棒。
87. 游標卡尺之本尺刻度為 1mm,游標尺取本尺 49 刻度長等分為 50 刻度,則其精度為(A)0.05mm(B)0.02mm(C)0. 01mm(D)0.001mm。
88. 三次元量測之平台,最佳材質為(A)花崗岩(B)大理石(C)鑄鐵(D)鑄鋼。
89. 地表蘊藏量最多的材料為(A)銅(B)金(C)鐵(D)鋁。
90. 適用於實驗室校驗量測儀器所用的塊規等級為(A)2(B)1(C)0(D)00 級。
91. 大量生產工件欲測量錐度時,宜選用的量具為(A)角度塊規(B)萬能角度儀(C)樣規(D)正弦桿。
92. 量產時,檢驗工件同一外徑,宜選用的量具為(A)塞規(B)環規(C)分厘卡(D)游標卡尺。
93. 工件內徑為 ψ4.40mm,宜選用較正確的量具為(A)游標卡尺(B)內徑分厘卡(C)缸徑規(D)小孔徑量錶規。
94. 實物測繪時,比較常需繪製工作圖的標準元件為(A)螺釘(B)軸承(C)銷(D)栓槽軸。
複選題
95. 下列實物測繪之步驟與要領,何者正確?(A)依圖紙大小決定視圖之選用數量及比例(B)依物件之複雜度決定 視圖之多寡(C)依視圖之複雜度決定視圖之比例大小(D)依視圖之大小與數量選用圖紙大小。
複選題
96. 實物測繪時,下列敘述正確的為(A)草圖是用徒手繪製(B)各部位尺度依比例目測不需要使用量具(C)草圖也需 要注意線型分明(D)測繪工作大都是在現場進行。
複選題
97. 必須進行實物測繪的時機為(A)機械欲改良(B)欲製造相同或類似機械(C)磨耗破損之零件欲修護(D)欲提出請購 計畫時。
複選題
98. 有關以右手持筆繪製徒手畫,下列敘述何者正確?(A)畫垂直線時,由下往上畫(B)畫水平線時,由左向右畫 (C)畫直線時,眼睛應注視於鉛筆尖端,以求一筆完成(D)畫大圓時,可使用兩支鉛筆,一支為圓心,一支取 半徑距離,旋轉圖紙繪製。
複選題
99. 有關分厘卡之使用,下列敘述何者正確?(A)應避免碰撞(B)以單手握持量測(C)可量測旋轉中工件(D)使用前後 須歸零。
複選題
100. 下列何者為實物測繪草圖常用之用具?(A)鉛筆與橡皮擦(B)圓規與分規(C)比例尺(D)鋼尺。
申論題 (0)
相關試卷
115年 - 20800 電腦輔助機械設計製圖 乙級 工作項目 07:實物測繪 51-116(2026/01/07 更新)#136487
115年 · #136487
115年 - 20800 電腦輔助機械設計製圖 乙級 工作項目 07:實物測繪 1-50(2026/01/07 更新)#136486
115年 · #136486
115年 - 20800 電腦輔助機械設計製圖 乙級 工作項目 06:3D模型圖 101-121(2026/01/07 更新)#136485
115年 · #136485
115年 - 20800 電腦輔助機械設計製圖 乙級 工作項目 06:3D模型圖 51-100(2026/01/07 更新)#136484
115年 · #136484
115年 - 20800 電腦輔助機械設計製圖 乙級 工作項目 06:3D模型圖 1-50(2026/01/07 更新)#136483
115年 · #136483
115年 - 20800 電腦輔助機械設計製圖 乙級 工作項目 05:工作圖 101-139(2026/01/07 更新)#136482
115年 · #136482
115年 - 20800 電腦輔助機械設計製圖 乙級 工作項目 05:工作圖 51-100(2026/01/07 更新)#136481
115年 · #136481
115年 - 20800 電腦輔助機械設計製圖 乙級 工作項目 05:工作圖 1-50(2026/01/07 更新)#136480
115年 · #136480
115年 - 20800 電腦輔助機械設計製圖 乙級 工作項目 04:機件元件 151-200(2026/01/07 更新)#136479
115年 · #136479
115年 - 20800 電腦輔助機械設計製圖 乙級 工作項目 04:機件元件 101-150(2026/01/07 更新)#136478
115年 · #136478