所屬科目:四技二專統測◆數學A
1. 若 與為兩多項式,則的 x3 項係數為何? (A) 12 (B) 2 (C) 1 (D) - 8
2. 平面上與為兩直線方程式,則 L1 與 L2 的距離為何? (A) (B) (C) 3 (D) 12
3. 若 為 的兩根,則 =? (A) - 3 (B) - 2 (C) 2 (D) 3
4. 滿足不等式 的最大整數x=? (A) -19 (B) -20 (C) -21 (D) -22
5. 若 為一次多項式, g(x) = (b -3)x + 2018 為零次多項式, 則數對 (a,b)=? (A) (3,1) (B) (1,0) (C) (2,3) (D) (1,3)
7. 若 ,則與 的夾角為何? (A) (B) (C) (D)
8. ,則 a、b、c 之大小關係為何? (A) a > b > c (B) b > a > c (C) b > c > a (D) c > b > a
9. 若 且,則 sinθ =? (A) (B) (C)(D)
10. 若 ABC 中, = 4、 = 5、= 6 且 Θ = BAC ,則 sinΘ =? (A) (B) (C) (D)
11. 若 =1,= 2 且 垂直 ,則 = ? (A) 17 (B) (C) 3 (D)
12. 若,則 f (x) 除以 x + 2 的餘式為何? (A) - 4 (B) - 2 (C) 4 (D) 6
13. 若 b、c 為實數,且 的解為 x ≤1 或 x ≥ 3 ,則 2b +3c=? (A) - 2 (B) -1 (C) 0 (D) 1
14. 滿足二元一次不等式 2x +3y -12≤ 0 的正整數解x 與y,所成的 ( x, y) 數對共有多少組? (A) 8 (B) 10 (C) 12 (D)15
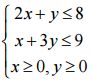
15. 若 x 與y 滿足聯立不等式 ,則 f ( x, y) = 2x + 3y 的最大值為何? (A) 6 (B) 8 (C) 12 (D)
16 16. 平面上兩圓方程式各別為 以及 ,若圓 C1 上 的所有點都在圓 C2 內,下列敘述何者恆為真? (A) (B) (C) c < 4 (D) c = 4
17. 平面上一圓方程式為 以及一直線方程式為 L: ax +by =1 ,下列何組 數據 (a,b) 使得 C 及 L 的關係為相交於兩點? (A) (3,4) (B) (3,- 4) (C) (8,6) (D) (12,- 5)
18. 若等比數列 的首項 a1 = 2 ,且前四項的乘積 ,則後四項的 乘積=? (A) 232 (B) 248 (C) 264 (D) 2 80
19. 針對來勢洶洶的腸病毒,政府鼓勵藥廠開發新藥,針對臨床實驗結果給予不一樣的補 助,成功治癒給予10萬元、病情持平給予3萬元及病情惡化給予6000元。若某種新藥對 於治癒、持平及惡化的機率各為 、 及 ,則開發此種新藥的期望值為何? (A) 61000元 (B) 86000元 (C) 100000元 (D) 136000元
20. 若 平面上 兩 直 線 與 互 相 垂 直 ,且 L1 與 L2 與 另 一 直 線 L3: x - 2y +10 = 0 無法圍成一個三角形,則下列何者正確? (A) a = -2 (B) (C) b = 5 (D) b =11
21. 若 log2 的近似值為 0.3010,則滿足 的正整數 n 共有多少個? (A) 29 (B) 30 (C) 31 (D) 32
22. 若等差級數 之值為2018,則 a514=? (A) 2018 (B) 1008 (C) 514 (D) 2
23. 某麵包店欲招募人力,初選方式需具備烘焙西點丙級證照以及2年以上業界經驗,若有20 個人投履歷,其中僅有2人兩條件都不符合,16人符合證照要求,11人符合2年以上業界 經驗,則從此20人隨機選取1人,符合初選條件的機率為何? (A) (B) (C) (D)
24. 某大藥廠針對Z型流感,研發出10種不一樣的新藥,全部的藥對某人的臨床反應只有治 癒或無效兩種可能,且機率相同,則這 10種新藥中,恰有6種對此人治癒的機率為何? (A) (B) (C)(D)