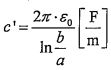
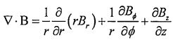
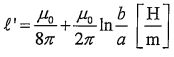
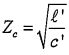
3.(10%) In the following configurations, Fig. 2, assuming both grounds are perfect conductors, current directions are as indicated (the solid arrows); the image current for both cases are shown. Using an✖H = J, H is the magnetic field intensity on the ground, an is the normal vector of the top surface of the grounds, determine the direction of the currents on the top surface of the grounds.
Current relative to the ground. Considering both the original current and its induced current on the ground, which one, left or right, is likely to be an effective antenna structure, why?