所屬科目:研究所、轉學考(插大)-微積分
3. Answer A, B or C: If y = f(u) and u = g(x), where f and g are twice differentiable such that g'(x) = g(x), then equals...(A)(B)(C)
4. Answer A, B, C or D: If x is measured in meters, r(x) is a function of x and r is also measured in meters, and ρ is measured in kg.m, then what is the unit of (A) kg.m-1 (B) kg.m (C) kg (D) kg.m²
5.Answer A, B, C or D: Which of the following expressions is WRONG? If you think they are all correct, answer D.(A)= f(g(b)) - f(g(a))(B)= f(g(b)) - f(g(a))(C)= f(g(b)) - f(g(a))(D) None of the above.
(a)If f is a strictly decreasing function, which means x1<x2 ⇒ f(x1) > f(x2), then it cannot be an even function.
(b)If f '(x) exists but f '(x) does not exist, then we say that f(x) is differentiable at a "on the left".
(c)Let f be a continuous function on the closed interval [-1, 1] and differentiable on the open interval (-1, 1). Suppose f(-1) = 4 and f(1) = 3. Then, there must exist c ∈ (-1, 1) such that f '(c) = 0.
(d)Suppose f is differentiable on R and n is an integer. Let F(x) = . Then, by the power rule, F'(x) =
(e)Suppose f is differentiable on R and n is an integer. Let F(x) = f(nx). Then, by the chain rule, F'(x) = nf'(nx).
(a)If F(x) is differentiable on R, then = F(x) - F(-x) for any x ∈ R.
(b)If F(.) is differentiable on R, then by substitution,
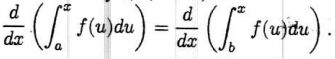
(c)If f and g are continuous on [a, b], then
(d)If f is continuous and even on R, then we always have = 0.
(e)If f is continuous, then for any a, b, and c,
6.Show all derivation steps: Find R(t) dt where R(t) =.
7.Show all derivation steps: Evaluate the infinite integral dx using L'Hôpital's rule.
8.Show all derivation steps: Find the following limit using Taylor series expansion: