所屬科目:有機化學
1 下列反應得到的產物,何者不具光學活性(optically inactive)? (A) (B) (C) (D)
3 下列何者有鏡像異構物(enantiomer)? (A) (B) (C) (D)
4 下列那一個分子的雙鍵不為共軛雙鍵? (A) (B) (C) (D)
6 苯甲醛與 2-丙基胺在 H2 /Ni 的存在下反應可得: (A) (B) (C) (D)
7 依據伍德沃德(Woodward)和費哲(Fieser)的經驗法則(empirical rules)推論,下列那一 化合物在紫外線光譜中的吸收波長最長?
(A) (B) (C) (D)
9 下列何者具芳族性(Aromaticity)? (A) (B) (C) (D)
10 下列反應,何者為親電芳香族取代反應(electrophilic aromatic substitution)? (A)
(B)
(C)
(D)
11 下列化合物,何者同時具有 1 級、2 級、3 級及 4 級碳原子的結構?
12 下列反應,主要產物結構為:
14 下列反應的主要產物為何?
15 下列反應的主要產物為:
(A)(B) (C) (D)
16 下列加熱反應的主要產物為何?
(A) (B) (C)
19 那一反應試劑適用於下列反應?
(A) 1. SOCl2, 2.H2O (B) HCl (C)少量 P, Cl2 (D) ZnCl2
25 下列反應會得到那一個主要產物?
1.
2.
3.
4.
5.
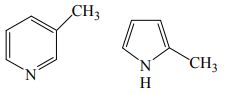
三、下列二個分子,試問那一個氮原子的鹼性比較強?(3 分)並說明理 由。(7 分)
五、試說明下列反應的反應機構。(5 分)
六、請比較苯并呋喃(benzofuran)和異苯并呋喃(isobenzofuran)在熱 力學上的穩定度。(5 分)