所屬科目:水利工程
二、有一複合式河道,其斷面如圖所示,主河道與洪水平原的底床坡度 S0 為 0.0005 及河道邊壁有三種不同的曼寧粗糙係數 n1=0.02、n2=0.03 與 n3=0.04。當主河道水深達 6 公尺時,假設忽略各分區通水斷面間摩擦損 失,試算排洪量及判斷主河道流況為亞臨界流或超臨界流。(25 分)
三、臺灣某地區五年頻率之降雨強度公式為 i = (公厘/小時),其中 t 為 集流時間(分鐘),試求下圖中各排水區出口之最大暴雨流量為若干(各 人孔間之流經時間為 3 分鐘)?(25 分)
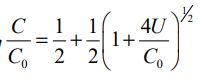
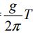
四、考慮有水流場的波速關係式為 ,式中 U 為水流流 速,C0 為深海波波速(= ),T 為波浪週期,C 為有水流之波速。 若河口水流流速為 0.3 公尺/秒,入射波 T = 4 秒時,請問入射波是否會 進入河口內?(10 分)