所屬科目:技師◆飛機設計
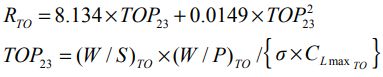
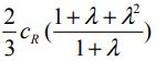
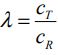
三、水平尾翼容積係數(Horizontal Tail Volume Coefficient), 垂直尾翼容積係數(Vertical Tail Volume Coefficient) ,其中 SHT 為水平尾翼面積、MACwing 為機翼平均氣動弦(Mean Aerodynamic Chord)、lHT 為水平尾翼平均氣動弦(MACHT)至機翼平均氣動弦 (MACwing)的距離、SVT 為垂直尾翼面積、lVT 為垂直尾翼平均氣動弦 (MACVT)至機翼平均氣動弦(MACwing)的距離、Swing 為機翼總面積、 bwing 為機翼翼展◦另外, (MAC wing )= 、機翼之翼縮比 ,cR 與 cT 分別為翼根與翼尖尺寸◦若一架飛機的VHT = 1.0 、 ,請求解 水平尾翼面積 SHT與垂直尾翼面積 SVT各為多少 ft 2 ?(20 分)