所屬科目:專科學力鑑定◆專(一):工程數學
1. 若向量,則 =?(A) 〈3,- 2,7〉(B) 〈3,10,- 7〉 (C) 〈9,12,-7〉 (D)〈9,10,7〉
2. 已知向量 。若向量的內積等於向量的內積(亦即,),則 a =? (A) - 2 (B) 3 (C) 9 (D) 11
3. 若向量 ,則向量的外積 =? (A) 〈-6,9,-3〉 (B) 〈2,0,-10〉 (C) -8 (D) 12
4. = ? (A) 0 (B) 1 (C) -π (D) π
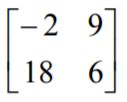
6. 已知 a +b = 5 。若矩陣 A= 的行列式值為6,則 3a - 2b =? (A) - 2 (B) 3 (C) 5 (D) 6
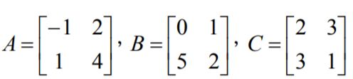
7. 若矩陣,則 (2A+3B)C =? (A) (B) (C) (D)
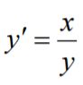
9. 已知 。若 y(0) =1 ,則 (y(1))2 =? (A) 2 (B) 3 (C) 4 (D) 9
10. 若向量 ,則向量 的純量三重積 =? (A) - 49 (B) - 25 (C) 32 (D) 56
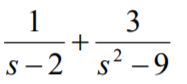
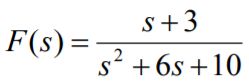
11. 已知。若 F(s) 為 f (t) 的拉式轉換(Laplace transform),則 F(s) =? (A) (B) (C) (D)
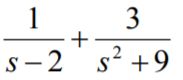
12. 已知。若 f (t) 為 F(s) 的反拉式轉換(inverse Laplace transform),則 f (t) =? (A) (B) (C) (D)
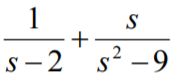
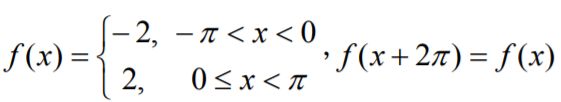
13. 已知, 。若 為 f (x) 的傅立葉級數(Fourier series),則 b1 =? (A) 0 (B) (C) (D)
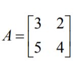
14. 若矩陣 的反矩陣為 ,則 a -b =? (A) - 2 (B) 1 (C) 3 (D) 6
15. 若矩陣的秩(rank )為2,則 a =? (A) - 3 (B) 1 (C) 4 (D) 8
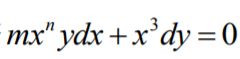
16. 若 為恰當( exact)微分方程式,則 m+ 2n =? (A) 4 (B) 5 (C) 6 (D) 7
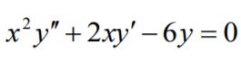
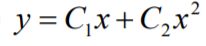
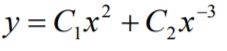
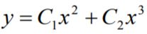
18. 下列何者為尤拉柯西方程式 ( Euler Cauchy equation ) 的通解 ( general solution )?(其中 C1 ,C2 為常數) (A) (B) (C) (D)
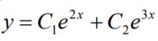
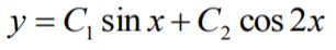
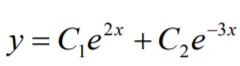
19. 下列何者為微分方程式 y " -5y ' + 6y = 0 的通解( general solution)?(其中 C1 ,C2 為常數) (A) (B) (C) (D)
20. 已知 。若 f (t) * g(t) 表示 f (t) 與 g(t) 的旋積( convolution ),則 f (t)* g(t) =? (A)e at (B) e 2at (C) e(at) 2 (D) te at