所屬科目:離散數學
(a) What is the probability that boy A and girl F sit next to each other, while there are exactly 2 people sitting between boy B and girl G?
(b) Prove that in this case, for every seating arrangement, there is always some person both of whose neighbors are boys.
(a) Determine whether there exists a connected planar graph that contains 13 edges and 9 regions. If so, draw the graph and prove its correctness. Otherwise, prove there is no such a graph.
(b) Determine whether there exists a connected planar graph that contains 7 vertices, without an Euler cycle, and with the chromatic number equal to 3. If so, draw the graph and prove its correctness. Otherwise, prove there is no such a graph.
(c) Let G be a graph with 5 vertices. Prove that if every vertex of G has degree 2, then G must be a cycle.
三、 Solve the recurrence relation an = = 1 and a₁ = 2.
四、Suppose that a spam filter is trained from 7500 messages, where 5000 messages among them are spam. The word "surprise" appears in 750 spam messages and 10 non-spam messages, and the word "energy" appears in 400 spam messages and 100 non-spam messages. What is the probability that an incoming message is considered spam by the filter if it contains both the words "surprise" and "energy"?
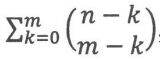
五、 Compute , where n ≥ m ≥ 1.
六、Solve the system of congruences x = 5 (mod 6), x = 3 (mod 10), x = 8 (mod 15), and x = 11 (mod 21).