所屬科目:捷運◆機械概論
2. 請問 符號的意義為? (A)正向度 (B)對稱度 (C)平行度 (D)真直度
4. 請問 是哪一種投影法? (A)第一投影法 (B)第二投影法 (C) 三投影法 (D)第四投影法
6. 請問 是位置公差符號的哪一種名稱? (A)正位度 (B)同心度 (C)對稱度 (D)圓柱度
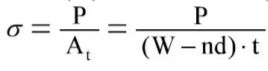
11. 張應力 ,若 W=板塊寬度,n=鉚釘數,d=鉚釘直徑,請問 t =? (A)動作時間 (B)板厚 (C)鉚釘半徑 (D)長度
13. 以下彈簧串連組合,其彈簧常數 K 為何? (A) k1 + k2 (B) k1 x k2 (C) 1 (k1 x k2 ⁄ ) (D) k1 x k2 (k1 + k2) ⁄
17. 虎克定律 中,σ = 拉(或壓)應力,E = 常數,則 ε = ? (A)動力 (B)應變 (C)反作用力 (D)能量
26. 請問 符號是哪一種公差類別? (A)位置公差 (B)形狀公差 (C)方向公差 (D)偏轉公差
27. 請問 符號的意義為? (A)真直度 (B)對稱度 (C)平行度 (D)正向度
28. 此符號 是哪一種幾何公差名稱? (A)圓柱度 (B)同心度 (C)對稱度 (D)位置度
31. 請問 哪一種公差標註名稱? (A)正位度 (B)直圓度 (C)對稱度 (D)圓柱度
35. 請問 下列何者機械之符號?(A)鉚接 (B)焊接 (C)熱接 (D)橋接
38. 以下彈簧組合,其彈簧常數 K 為何? (A) k1 + k2 (B) k1 x k2 (C) 1 (k1 x k2 ⁄ ) (D) k1 x k2 (k1 + k2) ⁄
49. 下圖衍架中,AB 桿所承受之力為多少 N? (A) 86.6 N (B) 100 N (C) 173.2 N (D) 346.4 N
50. 表示多根連桿結為一個剛體,彼此間無相對運動的機構符號為何者? (A) (B) (C) (D)