所屬科目:輻射防護師◆游離輻射防護專業
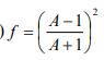
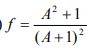
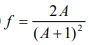
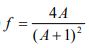
14. 設某物質原子核內的核子數為 A,中子與物質原子核進行彈性碰撞,則中子轉移給原子 核的平均能量比例 f,下列式子何者正確? (A) (B)(C)(D)
4. 一顆 9 Ci 的 60Co 射源掉落出其屏蔽容器,操作員在射源周圍 3 米處布置了示警隔離樁 與隔離繩,共花了 30 秒,然後以 2 m/s 之速度遠離射源到無窮遠處請求協助。 (A)此操作員在布置示警隔離樁與隔離繩期間之吸收劑量為多少? (B)操作員布置完離 開隔離繩後,所受到的劑量為多少 µSv?(60Co 的比加馬劑量常數為 8.53x10-11 )