所屬科目:技檢◆銑床-CNC 銑床-乙級
6. 以 20mm 端銑刀進行輪廓銑削,如下圖所示,在無刀徑補正狀態下,則直線切削至下一點之單節程式為。(sin30°=0.5, cos30°=0.866, tan30°=0.5774)(A)G91 G01 X50.0 Y0.0 ;(B)G91 G01 X55.774 Y0 ;(C)G91 G01 X55.0 Y0.0 ;(D)G91 G01 X58.66 Y0 ;
10. 如下圖所示,使用圓弧指令銑削曲面,下列何種刀具較適合?(A)錐形端銑刀(B)球刀(C)圓角端銑刀(D) 平口端銑刀。
31. 以 20mm 端銑刀進行輪廓銑削,目前位置及絕對原點位置如下圖所示,在無刀徑補正狀態下,則直 線切削至下一點之 X 絕對座標為(sin30°=0.5, cos30°=0.866, tan30°=0.57735)(A)-28.66(B)-30.0(C)-25.0(D)-27.887
37. 利用餘弦定律,若△ABC 中,a,b,c 分別代表,對邊之邊長,且 a=2,b=3,c=4,則 cos A=(A) (B) (C) (D)
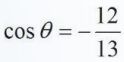
39. 工件圖面尺寸 ,經加工後檢查合格者為(A)36(B)36.038(C)36.016(D)36.052。
40. 如下圖所示之系統裝置是一種(A)空壓系統(B)油壓系統(C)電氣控制系統(D)油氣壓系統。
62. 茲以公差±0.10mm 與±0.02mm 分別畫成圓 1 及圓 2,如圖所示;圓心 O 代表正確值,可接受公差為0.01mm。現將量測到的工件尺寸標示為小黑點,下列何者不是該 5 個量測數據所呈現之準確度與重現性?(A)低準確度與低重現性(B)高準確度與低重現性(C)高準確度與高重現性(D)低準確度與高重現性。
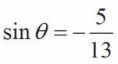
65. 若180°<θ<270°且 ,下列何者正確?(A) (B) (C) (D)
74. 使用 G42D01 指令精銑削溝槽尺寸mm,若端銑刀直徑 8mm,理論上 D 值可設定為(A)4.02(B)4.00(C)3.99(D)3.96。
77. NC 銑床上,加工路徑及銑刀關係如下圖所示,所須使用的指令為何?(A)G41(B)G42(C)G03(D)G02。
80. 如下圖,銑削長方體後,測量 6 個位置,其厚度分別為A20.10,B20.10,C20.10,D20.02,E20.02,F20.02mm,可能原因為(A)夾持時活動鉗口將工件向上推(B)虎鉗底面有切屑(C)兩個墊塊不等高(D)進給率 與轉速搭配不當。