所屬科目:高中技藝◆電腦軟體設計
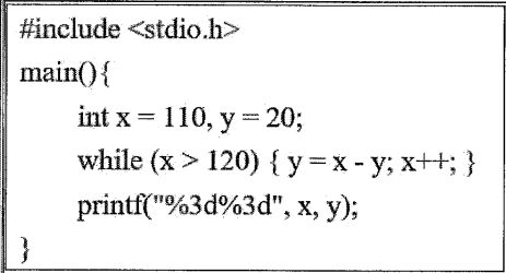
1.有一C程式片段(如下圖)執行的結果,下列何者正確?
(A) 4 (B) 5 (C) 8 (D) 9
2.有一C程式片段(如下圖),其中round()是四捨五入的函數,執行的結果下列何者正確?
(A) -1 (B) 0 (C) 1 (D) 2
3.有一C程式片段(如下圖)執行的結果,其中strncpy是複製n個字的函數,strcat是字串串接的函數,下列何者正確?
(A) C++uslan (B) Cul (C) C+uselang (D) Cuslan
4.有一C程式片段(如下圖)執行「*j」的輸出結果,下列何者正確?
(A) 4 (B) 5 (C) 7 (D) 8
5.有一C程式片段(如下圖)執行,i為6618608,則j為下列何者?
(A) 6618612 (B) 6618616 (C) 6618624 (D) 6618632
6.在網頁設計時使用樣式表(style),下列語法何者正確?
(A) (B) (C) (D)
7.在網頁設計時,文字使用樣式表 .style {…; color: #FF00FF; …},其中「color: #FF00FF;」,下列顏色何者正確? (A) 紫色 (B) 黃色 (C) 粉紅色 (D) 粉藍色
8.在網頁設計時,具有換列同時有行距的指令(標籤),下列何者正確? (A) <p>...</p> (B) <br /> (C) <span>...</span> (D) <style>...</style>
9.使用Microsoft Word寄信給一群人,您可以將每個人所收到的信件個人化,在進行「合併列印」時,所選取的文件類型為下列何者? (A) 信封 (B) 信件 (C) 標籤 (D) 電子郵件信息
10.使用Microsoft Excel將單一文字欄分為多個欄,使用「資料剖析欄置」時,做為分隔符號的資料類型,下列何者錯誤? (A) 以逗號做為每一個欄位的分隔符號 (B) 以分號做為每一個欄位的分隔符號 (C) 固定寬度,欄位間以TAB鍵區分 (D) 固定寬度,欄位間以空格區分
11.Unix或Linux設定檔案權限時分為擁有人、同組人及其它人的權限等共3組,每組使用幾個bits? (A) 2 (B) 3 (C) 4 (D) 8
12.在Windows作業系統下,為檔案命名時下列字元何者可以使用? (A) ! (B) | (C) / (D) \
13.當有一個符記環(Token Ring)區域網路與一個乙太(Ethernet)區域網路要連接時,下列哪一個網路設備較適合? (A) 集線器(Hub) (B) 交換器(Switch) (C) 橋接器(Bridge) (D) 中繼器(Repeater)
14.關於網際網路的協定,下列何者具有安全性的傳輸? (A) tcp (B) https (C) udp (D) http
15.至今為止,一般電腦的基本架構仍是採用下列哪一種計算機模型(Computer model)為主? (A) Turing圖靈 (B) Leibnitz留尼兹 (C) Pascal巴斯卡 (D) von Neumann范紐曼
16.兩個十六進制值EC4AH與537BH經XOR邏輯運算後的結果為? (A) B439H (B) BF31H (C) 31BFH (D) 39B4H
17.萬用碼(Unicode)對任何語言之任一個符號使用多少位元來儲存單一文字? (A) 8 bits (B) 16 bits (C) 32 bits (D) 64 bits
18.以八位元之2的補數來計算十進制(19 - 23),其結果以八位元2的補數(2's)之表示為? (A) 10000100 (B) 00000100 (C) 11110011 (D) 11111100
19.對40萬筆的資料使用陣列(Array)之資料結構來儲存,下列何種運算通常較為費時? (A) deletion刪除一筆資料 (B) retrieval調查一筆資料 (C) traversal追蹤所有資料 (D) search搜尋一筆資料
20.已知600萬筆資料且已排序好,以二元搜尋法(Binary search)來搜尋其中在一筆資料,最多需要多少次? (A) 21次 (B) 22次 (C) 23次 (D) 24次
21.下列何種資料結構最適用於遞迴(Recursive)方法之返回位址(Returned address)的管理? (A) Array陣列 (B) Queue佇列 (C) Stack堆疊 (D) Binary tree二元樹
22.八進制537.42₈等效於十六進制為? (A) CF.81₁₆ (B) 13F.61₁₆ (C) 1EF.48₁₆ (D) 15F.88₁₆
23.數位音樂的共同標準為MP3,其定義為每秒對音頻類比信號取樣44100點,每個取樣點以16bits(或2B)來量化及編碼;已知一首1分又10秒的MP3數位音樂,則其未經壓縮所佔的記憶體空間為? (A) 6174000B (B) 5147000B (C) 4764000B (D) 3087000B
24.網際網路TCP/IP協定架構,下列哪一層定義IP位址的協定(Protocol)? (A) 應用層 (B) 傳輸層 (C) 網路層 (D) 資料連結層
25.相片GIF的影像標準為每點像素採用索引色(Indexed color)來量化與編碼而儲存,已知一張一千萬像素GIF相片,則其未經壓縮所佔的記憶體空間為? (A) 1 MB (B) 3 MB (C) 5 MB (D) 10 MB
26.已知一家網際網路服務提供者提供非對稱數位用戶迴路ADSL 30M/4M之寬頻網路服務,則下列何者正確? (A) 上傳速度4MB (B) 下載速度30Mbps (C) 下載速度30MB (D) 上傳速度4Mbps
27.有關計算機之I/O定址模式,下列敘述何者錯誤? (A) 隔離式(Isolated) I/O定址的存取需要專用指令 (B) 記憶體對映式(Memory-mapped) I/O定址的存取與記憶體位址的存取使用相同指令 (C) 記憶體對映式I/O定址只佔記憶體位址的極少數空間 (D) 隔離式I/O定址屬於記憶體位址的一部份
28.以下為C語言之主程式呼叫副程式,請呈現printf敘述所顯示x y z的結果為?
(A) x=12 y=8 z=4 (B) x=16 y=11 z=5 (C) x=12 y=11 z=5 (D) x=16 y=11 z=4
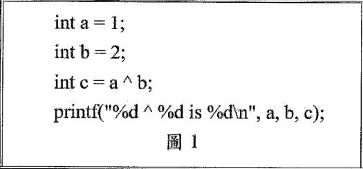
29.圖1程式片段執行結果c的值為何?
(A) 0 (B) 1 (C) 2 (D) 3
30.在圖2程式片段中,若輸入的n為1234,請問執行結果為何?
(A) 1234 (B) 10 (C) 1 (D) 4
31.在圖3程式片段中,請問執行結果為何?
(A) 5 5 6 (B) 5 6 6 (C) 6 6 6 (D) 5 5 5
32.在圖4程式片段中,請問執行結果為何?
33.圖5的程式是用來計算球體的體積,但計算的結果有錯,請問錯誤出自哪一行?
34.10進制的數值1234,轉換為2進制答案為? (A) 10010111001 (B) 11110000111 (C) 10011010010 (D) 11010010111
35.10進制的數值1234,轉換為8進制答案為? (A) 2321 (B) 2322 (C) 2323 (D) 2324
36.10進制的數值1234,轉換為16進制答案為? (A) 4FD (B) 2FF (C) 4D2 (D) 3A5
37.在圖6程式片段中,請問執行結果為何?
(A) 0 (B) 1 (C) 5 (D) 15
38.在圖7程式片段中,請問執行結果為何?
39.圖8程式片段執行結果c的值為何?
(A) 1 (B) 2 (C) -3 (D) 4
40.圖9程式片段,如果輸入n為76,執行結果為何?
(A) 1 2 2 2 (B) 1 2 2 1 (C) 1 2 1 1 (D) 1 1 1 1
41.哪一種軟體會瞬間發送大量封包來癱瘓網路? (A) 木馬程式 (B) 互斥病毒 (C) 邏輯炸彈 (D) 阻斷服務
42.小青以公開金鑰技術傳送情書給小明,請問要如何使用公開金鑰技術,讓小明可以確定情書是小青所傳送的? (A) 使用小青的私鑰加密,再以小青的公鑰解密 (B) 使用小青的私鑰加密,再以小明的公鑰解密 (C) 使用小青的公鑰加密,再以小明的私鑰解密 (D) 使用小明的私鑰加密,再以小明的公鑰解密
43.在不同進制數字系統中,常需要進行數值轉換,假設(125)₈=(320)ₓ,請問其中的b為多少? (A) 7 (B) 6 (C) 5 (D) 4
44.執行下列程式碼後,請問輸出結果為?
(A) 111 90 (B) 112 21 (C) 110 90 (D) 110 20
45.著作財產權的期間屆滿後,以下何者敘述是正確的? (A) 付錢給經濟部智慧財產局,就可以使用該著作 (B) 仍需要徵求著作財產權人的同意,才可以使用該著作 (C) 只要經濟部智慧財局同意,就可以使用該著作 (D) 任何人都可以自由使用該著作
46.執行下列程式碼後,請問輸出結果為?
(A)00 (B)421 (C)211 (D)311
47.執行下列程式碼後,請問輸出結果為?
(A) 8 2 (B) 12 3 (C) 2 6 (D) 4 6
48.執行下列程式碼後,請問輸出結果為?
(A) 28 4 (B) 4 8 (C) 9 12 (D) 9 8
49.執行下列程式碼後,請問輸出結果為?
(A)28 31 (B)40 31 (C)3 31 (D)900 35
50.當執行下列程式碼並輸入一串數值 5 2 -1 10後,請問輸出結果為?
(A) 10 49 20 (B) 10 48 20 (C) 10 45 18 (D) 10 3 6
51.執行下列程式碼後,請問輸出結果為?
(A) 24 (B) 180 (C) 360 (D) 720
52.執行下列程式碼後,請問輸出結果為?
(A) 110 (B) 68 (C) 38 (D) 166
53.執行下列程式碼後,請問輸出結果為?
(A) 153 (B) 306 (C) 68 (D) 34
54.執行下列程式碼後,請問輸出結果為?
(A) 128 (B) 256 (C) 512 (D) 511
55.布林運算中,下列何者有誤? (A) A+A'=1 (B) AA'=0 (C) A+A'B=A+B' (D) A(A+B)=A'B
56.固態硬碟與傳統硬碟的比較,下列何者不正確? (A) 耗電量:前者低,後者高 (B) 噪音:前者無,後者有 (C) 耐震度:前者高,後者低 (D) 讀寫頭轉速:前者快,後者慢
57.記憶體空間10³Bytes與1 KB相差多少Bytes? (A) 0 Bytes (B) 24 Bytes (C) 1000 Bytes (D) 1024 Bytes
58.在 Microsoft PowerPoint中,如果我們將簡報第3頁的標題字型改為「標楷體」,接著將母片的標題字型改為「新細明體」,最後再將簡報第5頁的標題字型改為「微軟正黑體」,則此時簡報的第3頁、第4頁、第5頁的標題字的字型分別為何? (A) 標楷體、新細明體、微軟正黑體 (B) 新細明體、新細明體、微軟正黑體 (C) 標楷體、微軟正黑體、微軟正黑體 (D) Ctrl+Z 新細明體、新細明體、新細明體組合鍵
59.有關軟體的授權類型,下列何者正確? (A) Adobe Reader雖為免費軟體但具有著作權 (B) LINE為私有關聯軟體但不具有著作權 (C) OpenOffice為共享軟體但試用期間須付費 (D) WinRAR已超過著作權保護期限為公共財軟體
60.有關電子商務安全機制的敘述,下列何者正確? (A) SET是Netscape公司獨立制定的安全機制 (B) SET是Netscape公司獨立制定的安全機制 (C) SSL是使用電子錢包的網路架構 (D) 採用SSL安全機制的網頁,其網址的通訊協定為https
61.下列何者為未經壓縮的聲音檔案格式? (A) .AAC (B) .MP3 (C) .WAV (D) .WMA
62.關於 Microsoft Excel 中列印功能的敘述,下列何者錯誤? (A) 想由左至右列印工作表時,須設定循列列印 (B) 想由上至下列印工作表時,須設定循列列印 (C) 可以指定要列印工作表中的選取範圍 (D) 可設定列印出來的工作表「水平置中」及「垂直置中」
63.有一3英吋、4英吋的GIF影像檔,其解析度為300dpi,則儲存該影像檔最少需要多少記憶體空間? (A) 3600 Bytes (B) 28800 Bytes (C) 1080000 Bytes (D) 8640000 Bytes
64.在 Visual Basic中宣告陣列變數 Dim arrayX(2, 3, 4) As Long,則變數 arrayX 可儲存幾個陣列元素? (A) 9 (B) 12 (C) 24 (D) 60
65.在PowerPoint (2007、2013)中,要將某種字型取代為另一種字型,可以點選? (A) 常用→編輯→取代字型 (B) 常用→版面配置→取代字型 (C) 常用→編輯→選取→取代字型 (D) 常用→編輯→尋找→取代字型
66.有關PhotoImpact白平衡功能的敘述,下列何者正確? (A) 調整亮度不佳的影像 (B) 調整歪斜的影像 (C) 調整色偏的影像 (D) 調整模糊的影像
67.在Visual Basic中若要使用Rnd()亂數模擬擲銅板出現正、反面(分別以1、2表示),則程式敘述應為何? (A) Rnd( ) * 2 (B) Int( Rnd( ) *2) (C) Int( Rnd( ) *2 )+1 (D) Int( Rnd( ) * 3 )
68.一套加密機制是將明文的英文字母所對應之次序數字(A、B、…、Z的次序數字為0、1、…、25),經以下轉換公式:密文的字母次序數字=((明文的字母次序數字+13) mod 26),來得到新的英文字母所對應之次序數字,其中 mod 為兩個整數作除法所得到之餘數。現有一密文為 YRNX,請問原來明文為以下列者? (A) LEAK (B) LEAF (C) LEAD (D) LEAP
69.RAID (Redundant Array of Independent Disks) 各層級中,RAID5 被廣泛的應用,請問最少需要幾顆相同大小硬碟方可建立RAID5的儲存架構? (A) 2 (B) 3 (C) 4 (D) 5
70.據下列數值直接建立一個二元搜尋樹(binary search tree): 501、205、318、188、732、810、100、980、168、503、790、93;欲找鍵值為 100 的節點,從 501 節點為第一次起算,需經過幾次的比較? (A) 3 (B) 4 (C) 5 (D) 6
71.有一個二元樹運算結構如下圖,請問若A=4.0,B=1.0,C=6.0,D=4.0,E=5.0,則運算的結果為?
(A) 2.0 (B) 3.0 (C) 4.0 (D) 5.0
72.若執行完下列程式後,請問NUM的值是多少?
(A) 30 (B) 31 (C) 32 (D) 33
73.下列那一種編碼標準是屬於 不失真 的壓縮方法? (A) MP3 (B) JPEG (C) Huffman coding (D) MPEG
74.常"Y_{n+1}=(7Y_n + 1) mod 6",假設Y₀=3,則以下何者 不正確 ? (A) Y₂=5 (B) Y₃=0 (C) Y₁=4 (D) 此公式,其Yₙ永遠不會等於2
75.下列有關「中斷(Interrupt)」的敘述中,何者正確? (A) 中斷的要求必定來自硬碟 (B) 硬碟中斷,相對於CPU正在執行的程式,乃是一非同步事件(Asynchronous Event) (C) 當CPU在執行中斷時,就不能再執行其他的中斷 (D) 可遮沒的中斷(Mask Interrupt)沒有優先權
76.能使電腦執行比主記憶體還大的程式時,可用以下哪一種技術? (A) 虛擬記憶(Virtual Memory) (B) 快取記憶(Cache Memory) (C) 多工作業(Multi-tasking) (D) 分時(Time Sharing)
77.使用IE瀏覽一部名為「www.myweb.com.tw」的電腦上「port number為3000」的Web 虛擬主機,位址應如何輸入? (A) http://www.myweb.com.tw:3000/ (B) http://www.myweb.com.tw/3000 (C) http://www.myweb.com.tw/ (D) http://www.myweb.com.tw/default.htm
78.下列何者 不是 「資料倉儲(Data Warehouse)」的主要資料模型(Data Model)? (A) 階層模型(Hierarchical Schema) (B) 星座模型(Constellation Schema) (C) 星狀模型(Star Schema) (D) 以上皆非
79.執行下列VB程式片段後,變數x的值為何?
(A) 264 (B) 282 (C) 300 (D) 5049
80.執行下列程式碼之後,請問最後sum的值多少?
(A) 2000 (B) 2525 (C) 5050 (D) 10100