所屬科目:微積分
一、試求 。(10 分)
二、令 ,試求 f(x) 在區間[0,10]上的最大值與最小 值。(15 分)
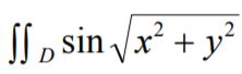
三、試求積分。(15 分)
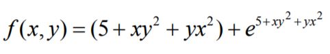
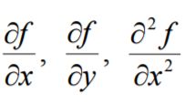
四、令 ,求 。(15 分)
六、試求下列積分:,此處。 (15 分)
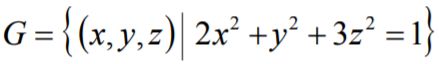
七、令 及,試求f(x, y,z)在 G 上的最大值與最小值。(15 分)