所屬科目:台電◆工程力學概要
2. 如右圖所示,T形面積之形心位置為何? (A) (B) (C) (D)
3. 如右圖所示,求正方形陰影面積對X軸慣性矩 Ix為何? (A) 358 cm4(B)412 cm4 (C) 432 cm4 (D) 480 cm4
4. 蒲松比μ的定義為何? (A) (B) (C)(D)
5. 如右圖所示之矩形面積,寬為 b,高為 h,X軸為其形心軸,則此面 積對 X軸之迴轉半徑 K為何? (A) (B) (C) (D)
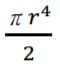
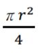
6. 一圓形面積之半徑為 r,則此面積對圓心之極慣性矩為何? (A) (B) (C) (D)
8. 使用直徑為 D 的圓柱型衝頭,在厚度為 t 的鋼板上沖出圓孔,若施加於衝頭的軸向力為 P, 則鋼板之沖孔所受之平均剪應力τ為何? (A) (B) (C) (D)
10. 右圖中鋼板厚2 cm,自由端受 8 t 之拉力,鋼板之彈性模 數 E =2✖ 106 kg/cm2,則鋼板總伸長量為何? (A) 3 mm (B) 6 mm (C) 9 mm (D) 12 mm
11. 圓桿件彈性模數E,長度L,橫斷面直徑D,此桿受到拉力P作用,其勁度為何? (A) (B) (C) (D)
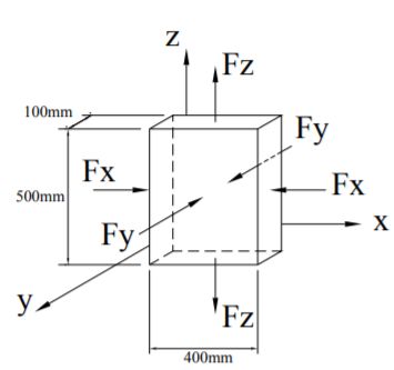
13. 如右圖所示,一物體受到三方向軸力作用Fx= 400 kN, Fy= 1200 kN,Fz = 80 kN,物體彈性模數為 10 GPa,蒲松比 為 0.3,則 y方向之總變形量為何? (A)縮短 0.042 mm (B)縮短 0.272 mm (C)伸長 0.16 mm (D)伸長 0.31 mm
14. 如右圖所示,應力元素之彈性模數為 E,蒲松比μ,其體積應變 為何? (A) (B) (C)(D)
15. 如右圖所示,AB及BC均為繩索,外力168 N,繩索張力ܶTAB、ܶTBC分別為何? (A)160 N、104 N(B)75N、117 N (C) 117 N、75 N (D) 104 N、160 N
17. 如右圖所示,一均質彈性金屬桿,彈性模數 E = 200 kN/mm2,其中AB段之斷面積為 600 mm2 ,BC段之斷面積為300 mm2,在端點C施加 600 kN 之拉力,其受力方向之總伸長量為何? (A) 2 mm (B) 3.5 mm (C) 5 mm (D) 7.5 mm
21. 如右圖所示,AB段為實心銅管,直徑 4 cm,BC段為中空鋁管,外徑 3 cm,內徑 2 cm, 則銅管最大軸向應力為多少? (+:拉應力,-:壓應力) (A) 50 MPa (B) -25 MPa (C) 12.5 MPa (D) -10 MPa
22. 受雙軸向應力之材料,若主應力σx=3000 kg/cm2,,則其最大剪應力為何? (A) 3500 kg/cm2 (B) 2000 kg/cm2 (C) 1500 kg/cm2 (D) 500 kg/cm2
24. 如右圖所示,請根據結構受力情形判斷為下列何種結構? (A)靜定結構 (B) 1度靜不定 (C) 2度靜不定 (D) 3度靜不定
25. 如右圖所示,4分之1圓面積之形心位置( )為何? (A)() (B)() (C) ()(D)()
26. 如右圖所示,該梁之剪力圖為何? (A) (B) (C) (D)
27. 如右圖所示為一簡支梁之剪力圖,試求C點彎 矩Mc為何? (A) 0 (B) 100 N-m (C) 200 N-m (D) 300 N-m
28. 如右圖所示為一梁之剪力圖,其彎矩圖為何? (A) (B) (C) (D)
29. 如右圖所示為一簡支梁,其彎矩圖為何? (A) (B) (C) (D)
30. 如右圖所示之懸臂梁受一均佈載重W,其固定端側彎矩為何? (A) (B) (C) (D)
31. 如右圖所示之簡支梁受一均佈載重W,其梁之最大彎矩為何? (A) (B) (C) (D)
32. 如右圖所示之簡支梁,其最大彎矩發生的位置與A點 距離為何? (A) 2.6 m (B) 4.3 m (C) 5.8 m (D) 8 m
33. 如右圖所示,梁中最大彎矩位於何處? (A)只位於A處 (B)只位於B處 (C)只位於C處 (D)位於BC之間
34. 如右圖所示,梁之矩形斷面中立軸慣性矩Ix =8✖ 106 mm4 ,則梁中C斷面處距慣性軸上方 4 cm處彎曲應力為何? (+:拉應力,-:壓應力) (A) +60 MPa (B) +30 MPa (C)-60 MPa (D) -30 MPa
36. 如右圖所示,寬 12 cm✖ 高 20 cm之矩形懸臂梁自由端承受一集中載 重P,該梁之容許彎曲應力為 1.5 GPa,則最大容許載重P為何? (A) 100 kN (B) 80 kN (C) 60 kN (D) 50 kN
37. 如右圖所示,有一T型簡支梁斷面,其梁上承重後,於某斷面產生最 大拉應力 600 MPa,最大壓應力 360 MPa,則梁腹寬度b為何? (A) 12 cm (B) 8 cm (C) 6 cm (D) 4 cm
39. 若材料相同,矩形梁斷面尺寸為寬(cm) ✖高(cm),下列何者可承受的彎矩最大? (A) 12 cm ✖18 cm (B) 9 cm ✖ 24 cm (C) 8 cm✖ 27 cm (D) 18 cm ✖12 cm
44. 如右圖所示,試求該梁結構A點支承之反力為何? (A) 6 kg (B) 30 kg (C) 60 kg (D) 114 kg
49. 如右圖所示,物體與斜面間之最大靜摩擦係數為 0.3,若繩索與滑 輪間之摩擦力不計,則不使 100 kg物體滑動之最小重量W為何? (A) 92 kg (B) 84 kg (C) 52 kg (D) 36 kg