所屬科目:計算機概論、大意(資訊科學概論,電腦常識,電子計算機概論)
3 下列這個邏輯線路圖,有兩個 1-bit 的輸入 a 及 b,產生 1-bit 的輸出。請問這個邏輯線路圖可能的運 算功能為何? (A) 1-bit 的大於比較器,即如果 a>b 則輸出 1,反之輸出 0 (B) 1-bit 的相同比較器,即如果 a 等於 b,則輸出 1,反之輸出 0 (C) 1-bit 的互斥或(XOR)運算,即如果 a 等於 b,則輸出 0,反之輸出 1 (D) 1-bit 的乘法器,也就是輸出為 a 與 b 的乘積
7 假設 S 是一個堆疊(stack),一開始它的內容是空的(empty)。而 x 與 y 是兩個變數名稱,則執行 下列的演算法後,S 的內容為何?(由左至右的順序代表堆疊的底部到上面) (A)5 (B)5 5 (C)2 8 (D)8
10 下列程式是 C 語言的 function,請問呼叫 C(4,3)會得到多少? (A)3 (B)4 (C)6 (D)7
11 下列程式是 C 語言的 function,請問呼叫 g2(210,42,350)會得到多少? (A) 42 (B) 14 (C) 10 (D)7
22 針對下列電路圖,下列何者為正確布林表示式 下列何者為正確布林表示式(Boolean Expression)? (A) A' B +(B+C)’ (B) AB' + BC' (C) A'B + (B'C')’ (D) A'B + BC'
24 假設電腦系統目前的主記憶體狀態如下圖,記憶體管理使用動態切割技術。一個新的工作(程序 5)要求 63 區塊(Block)主記憶體。若使用最差適用法(Worst fit)配置主記憶體,下列敘述何者正確? (A) 200 空區塊分配 63 區塊給程序 5,剩餘 137 空區塊 (B) 80 空區塊分配 63 區塊給程序 5,剩餘 17 空區塊 (C) 75 空區塊分配 63 區塊給程序 5,剩餘 12 空區塊 (D) 65 空區塊分配 63 區塊給程序 5,剩餘 2 空區塊
29 針對下列圖形結構,以 廣度優先順序搜尋輸出,下列何者正確?(A) 1→2→3→4→7→5→6(B) 1→6→5→4→3→2→7(C) 1→6→5→7→2→3→4(D) 1→2→6→3→7→5→4
33 執行 C 程式 test(3),其回傳值為下列何者 其回傳值為下列何者? (A) 70 (B) 80 (C) 90 (D) 100
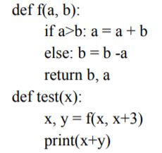
34 針對下列 Python 程式,執行 test(3) 後,其輸出為下列何者? (A)0 (B)3 (C)6 (D)9
35 給定 Python 函數 g(),已知 g(5), g(6), g(7) 回傳值分別為 13, 19, 22,則 if 的條件判斷式為下列何者? (A) x % 2 != 1 (B) x * 2 > 12 (C) x + 4 < 10 (D) x * x < 25
37 針對下列 C 程式,執行 test()後回傳值為下列何者? (A) 15 (B) 13 (C) 10 (D)7