所屬科目:初等/五等/佐級◆資料處理大意
14 依據以下 Java 的程式碼, 下列執行結果何者正確? (A) while 迴圈會執行 5 次 (B) while 迴圈只會執行一次就因為 break 指令而跳出 (C) while 迴圈一次都沒有執行 (D)這會導致無限迴圈
24 執行以下程式片段後,下列敘述何者正確? (A) a 的值是 3.4 (B) b 的值是 3.4 (C) c 的值是 3.4 (D) d 的值是 3.4
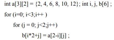
33 執行以下程式片段後,下列敘述何者正確? (A) b[1]的值是 12 (B) b[2]的值是 8 (C) b[3]的值是 6 (D) b[4]的值是 10