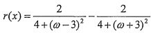
7.While receiving the signal, you adopt a circuit to process this signal. After your analysis, you
can model the circuit by using the following ordinary differential equation (ODE).
y(x)+3y(x)+2y(x)=
[δ(x-3)+δ(x+3)]
Please use the result in the previous problem and the symmetric property to solve the above ODE and
determine the right y(x).(A) π(δ(ω));(B)π(δ(ω-3)+δ(ω+3)).
;(C)π(δ(ω+3)-δ(ω-3)).
;(D)π(δ(ω-3)+δ(ω-3)).