所屬科目:研究所、轉學考(插大)-微積分
1. The range of is__(1)__.
2. Ify2 = x2+sinxy,then=__(2)__.
3. The value of is__(3)__.
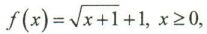
4.Let,then f-1(x)=__(4)__ .(You need indicate x's range too.)
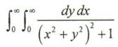
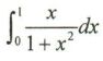
7. The value of is__(7)__.
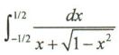
8. The value of is__(8)__.
9. Does series converge or diverge?__(9)__.
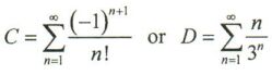
10. Islarger?__(10)__
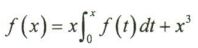
2. Suppose that f is a continuous function satisfying forall x, and c is a real number such that f(c)=1. Then, expressing f'(c) in terms of c only is__(2)__.
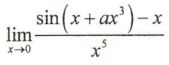
3. For limit to exist, the value of constant a=__(3)__.
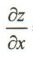
4. Assume that z and w are differentiable functions of x and y,satisfying the equations xw3+yz2+z3=-1 and zw3-xz3+y2w=1. Then, at (x,y, z, w)=(1,-1,-1, 1), =__(4)__.
5. The value ofis__(5)__.