所屬科目:自動控制學
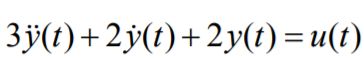
一、考慮一個系統是由所描述,請以方塊圖(block diagram)中的積分方塊 來表示此系統中之間 的關係,將系統的方塊圖畫出來。(20 分)
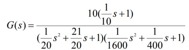
三、請用近似曲線描繪系統 的波德圖(Bode plot)。(20 分)
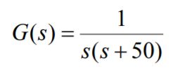
四、下圖之系統中, 請描繪其受控系統的奈氏圖 的 K 值之範圍。(20 分)
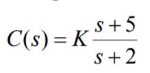
五、考慮系統轉移函數為 吾人以一個領先補償器(lead compensator) 來改變系統的動態, 描繪該系統的根軌跡圖(root locus plot),計算其根軌跡有幾條分支?分離點(breakaway point)在那裡(其中一個分離點在–10)?並分析使閉迴路系統維持穩定的 K 值範圍,當 K 值逐漸趨近極大的時候閉迴路系統的主要動態會如何表現?(20 分)