所屬科目:環境化學與環境微生物學
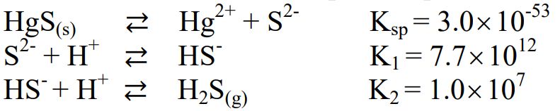
一、重金屬汞以 HgS(s)存在自然水體中,其解離出 Hg2+與水的 pH 值有關。 依據下列反應式及反應常數,請寫出 HgS(s)在酸性水體的解離反應式及 平衡常數,並分別計算在 pH7 及 pH2,水體中 Hg2+的莫爾濃度。(16 分)
三、分析湖泊底泥中的水樣,該水樣的 pH = 7.0 且系統達平衡,分析該水樣 顯示:[SO42-] = 2.00×10-5 M,又 H2 S(g)的分壓為 0.100 atm,該水樣又同時 存在 CO2與 CH4,請計算該底泥中的 CO2/CH4的分壓比為何?(10 分) 已知條件: