所屬科目:初等/五等/佐級◆資料處理大意
25 根據下列的程式碼,請問輸出結果為何? (A) Ans=13 (B) Ans=14 (C) Ans=15 (D) Ans=16
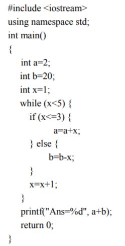
26 根據下列的程式碼,請問輸出結果為何?(A) Ans=8 (B) Ans=12 (C) Ans=10 (D) Ans=15
50 根據下列的程式碼,請問輸出結果為何?(A) Ans=20 (B) Ans=22 (C) Ans=24 (D) Ans=26