所屬科目:大地工程基礎學科(一)
1 當一材料之應力應變曲線沒有明顯之降伏點時,可採用偏位法(offset method)得到其特定 降伏應力(arbitrary yield stress)。即繪一標準應變差直線平行於原應力應變線性段,兩者之 交點即為特定降伏應力,該標準應變差通常為: (A)0.001 (B)0.002 (C)0.003 (D)0.004
4 圖示陰影面積係由邊長為 r 之正方形面積減去四分之一圓形面積而得,C 點為其形心位置, 則其座標 x 為何? (A)0.4433r (B)0.5544r (C)0.6655r (D)0.7766r
5 一均質彈性桿件斷面為如圖所示之三角形。若該斷面承受撓曲剪力,下列有關斷面中剪應力 之敘述,何者錯誤? (A)截面 A 與截面 D 之剪應力相同 (B)斷面最大剪應力發生在形心軸 C 處 (C)截面 D 之剪應力為零 (D)斷面最大剪應力發生在中央截面 B
6圖示陰影面積係由邊長為 r 之正方形面積減去四分之一圓形面積而得,則其對 y 軸之二次面 積矩 Iy為何?(A)0.0825r 4 (B)0.0943r 4 (C)0.1370r 4 (D)0.2120r 4
7.圖示一矩形材料 ABCD,受力後變形如虛線所示,則對角線 BD 上之平均正向應變大小為何? (A)0.0113 (B)0.0120 (C)0.0160 (D)0.0167
圖示一矩形材料 ABCD,受力後變形如虛線所示,則 B 點上之剪應變 γ xy大小為何? (A)0.005 (B)0.012 (C)0.016 (D)0.028
9 圖示邊長為 a = 300 mm,b = 150 mm,c = 150 mm 之長方體,楊氏模數為 E = 200 GPa,柏松 比為ν = 0.3,承受 以及之三軸應力試驗,則 x 軸邊長縮減 量為何? (A)0.045 mm (B)0.054 mm (C)0.064 mm (D)0.075 mm
10 圖示邊長為 a = 300 mm,b = 150 mm,c = 150 mm 之長方體,楊氏模數為 E = 200 GPa,柏松 比為ν = 0.3,承受 以及 之三軸應力試驗,則體積縮減量為何? (A)1,418 mm 3 (B)1,890 mm 3 (C)2,363 mm 3 (D)2,835 mm 3
11 圖示長方體,承受σ x = −60 MPa 以及之三軸應力試驗,則最大剪應力為何? (A)0 MPa (B)10 MPa (C)20 MPa (D)30 MPa
12 圖示結構 A 端為鉸接,左端繫一繩繞過滑輪固定於 B 點,承受拉力 P =8 kN,則 C 點斷面上 之彎矩為何? (A)6 kN-m (B)9 kN-m (C)12 kN-m (D)15 kN-m
13 如圖示剛性水平桿件 AB 由兩根彈性桿件 AD 與 BE 所支撐,連接點均為鉸接,兩彈性桿件 斷面積均為 400 mm 2 ,楊氏模數均為 E = 70 GPa,承受拉力 P =16 kN 並保持水平,則桿件 BE 之拉力為何? (A)4 kN (B)6 kN (C)8 kN (D)10 kN
14 兩塊鋼板經計算需以連接板使用 24 根φ 16 螺栓(φ 16 斷面積設為 200 mm 2 )接合(如圖所 示)。設螺栓的容許剪應力為 45 MPa,若不考慮摩擦力,純就螺栓剪應力而言,該接合所 能承擔之最大容許拉力 N=? (A)216 kN (B)270 kN (C)432 kN (D)864 kN
15 如圖示兩圓形桿件,分別為直徑 50 mm 之鋁桿與直徑 30 mm 之鋼桿,長度分別為 3 m 與 2 m, 已知材料之熱膨脹係數鋁為,鋼為 。楊氏模數鋁為 Ea = 70 GPa, 鋼為 Es = 200 GPa,兩端固定於剛性牆上。溫度 20℃時桿件並無應力存在,當溫度上升至 50℃ 時,鋼桿內部應力為何? (A)107 MPa (B)113 MPa (C)123 MPa (D)130 MPa
16 圖示斷面積 A 均勻之桿件,承受拉力 P 作用,其軸向應力為σ = P / A,已知圖示斷面 a-a 上 之正向應力為,剪應力為,則軸向應力σ 為何? (A)40 MPa (B)55 MPa (C)83 MPa (D)92 MPa
17 圖示斷面積 A 均勻之桿件,承受拉力 P 作用,其軸向應力為σ = P / A,已知圖示斷面 a-a 上 之正向應力為 ,剪應力為 ,則轉角θ 為何? (A)16° (B)23° (C)32° (D)46°
20 如圖所示,一剛體鐵板原設計由三支長 3 m 之均質混凝土柱 A、B、C 支撐,但現在中間柱 C 短了δ =1.5 mm。若柱之斷面積均為 400 cm 2 ,楊氏模數為 30 GPa,當載重 P 至少達到多 少時,C 柱開始產生軸向應力? (A)1,200 kN (B)1,800 kN (C)2,400 kN (D)3,000 kN
21 一均質彈性十字斷面構件如圖所示,斷面積為 500 cm 2 ,斷面慣性矩設為 24,000 cm 4 。若 該斷面承受一剪力 V=6tf,則斷面中最大剪應力為: (A)28 kgf/cm2 (B)25 kgf/cm2 (C)18 kgf/cm2 (D)11.5 kgf/cm2
22 一簡支梁 AB,在中央斷面 C 承受一逆時鐘彎矩 M*,如今在梁中斷面 D 處形心軸上方取一 平面應力元素,如下圖所示。下列各平面應力元素之受力情況,何者正確? (A) (B) (C) (D)
23 一均勻矩形斷面簡支梁,梁中央承載一集中力 P(如圖所示)。現維持梁寬 b 不變,若將梁 長度減短一半,則可使梁中最大撓曲應力不變之梁深應為: (A) (B)(C) (D)
24 一均勻矩形斷面懸臂梁,長度為 L,寬度為 b,深度為 h,梁部分承受均佈載重 w(如圖所示)。 此梁中之最大撓曲應力σ max 為: (A) (B) (C) (D)
25 承上題之矩形斷面懸臂梁,其最大剪應力 τ max 為: (A) (B)(C)(D)
26 如圖所示之兩端外伸簡支梁,絕對值最大之彎矩為何?(A)12 kN-m (B)18.33 kN-m (C)21 kN-m (D)24.38 kN-m
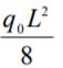
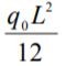
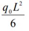
28 圖示長度 L之懸臂梁 AB,承受三角形分佈載重,固定端載重強度為 q 0,自由端載重強度為 零。則固定端彎矩為: (A) (B) (C) (D)
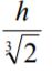
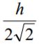
29 一擋土樁露出地面高度為 h,彎曲剛度(flexural rigidity)為 EI。在如圖所示側向土壓力作 用下,其頂端 B 之撓度約為: (A) (B) (C)(D)
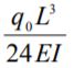
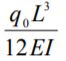
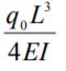
30 圖示長度 L,楊氏模數為 E,二次面積矩為 I 之懸臂梁,承受三角形分佈載重,固定端載重 強度為q 0 ,自由端載重強度為零。則自由端轉角為: (A) (B) (C) (D)
31 一長為 L,斷面寬為 b,深為 h 之矩形柱,兩端簡支,於柱之中點 B 限制其紙面方向之位移, 而垂直於紙面方向之位移則不受限。若兩主平面方向挫屈之臨界載重相同,則比值 b/h 為何? (A)0.353 (B)0.408 (C)0.500 (D)0.707
32 三支同材料之均質桿件 A、B、C 對稱懸吊一剛體(如圖所示)。若各桿件之軸向剛度 EA 皆相同,在拉力 P 之作用下,A 桿件之內力=? (A)P / 4 (B)P / 3 (C)P / 2 (D)P
33 如圖示桿件楊氏模數為 E、斷面二次面積矩為 I,A 端為滾接端;B 端藉由滾輪限制其水平移 動及轉動,只允許垂直移動。中點 C 承受集中力 P 作用,則 B 端位移大小為何? (A) (B) (C) (D)
39 不同材料 1、2 緊密接合兩端固定之桿件如圖所示,兩者皆為圓形斷面且直徑相同,其剪力 楊氏模數分別為 G1、G2。若在接合處施加一大小為 T 之扭力,則可使二材料承受相同扭力 的接合位置應為 n =? (A) (B) (C)(D)
40 一邊長為 12 cm 之方形管,斷面積為 80 cm 2 ,慣性矩為 1,387 cm 4 。若在主軸上施加一偏心距 為 e 之軸向壓力載重 F(如圖所示),則當 e 值超過下列何者時,柱斷面會發生張應力? (A)3.6 cm (B)2.9 cm (C)2.4 cm (D)2.0 cm T
一、有一土壤元素處於平面應變之狀況,此元素每邊長度為 a 如下圖實線 所示,其於 xy 平面之變形圖如虛線所示,z 軸垂直於 xy 平面且 。設 a = 1 cm,b = 100×10-6 cm,θ = 200×10-6,試求此土壤元 素於 xy 平面之主軸應變及其方向,並將其變形圖繪製於主軸應變方 向。(20 分)
二、有一地梁(長度 L,斷面 b×b)置於土壤上,此梁承受二個集中載重 P 及土壤分佈載重 q 如下圖所示。如 L = 10 m,a = 2 m,P = 360 kN, q 為常數,地梁之自重可忽略,梁之最大容許剪應力 τallow = 8 MPa。 試計算 q、梁之最大剪力絕對值| Vmax| 及斷面最小之 b 值。(15 分)
三、有一長度為 2L,橫斷面積為 A 之樁,打入土壤層 I 及土壤層 II 後如 下圖所示,已知樁頂之載重為 P,樁底之反力 R = P/4。設土壤層 I 與樁間之單位長度摩擦力為 f,土壤層 II 與樁間之單位長度摩擦力為 2f。如 f 為一常數,樁之彈性係數為 E,樁之自重可忽略,試求 f 及 此樁之總縮短量δ 。(15 分)