所屬科目:程式設計
(二)並說明下面 C++程式 main()中 10 行程式(9 個部分)在執行什麼工作, 及判斷是否編譯會出錯並且詳述及解釋錯誤的原因。 (27 分)
(二)另外請再詳述及解釋 釋 inheritance ambiguity。(5 分) )
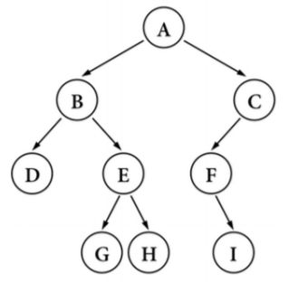
三、假設有一個用指標建立的二元樹,然後以 Pre-order, In-order, Post-order 及 Level-order tree traversal 的順序把字元列印出來,請用 C++或 Java 撰寫一完整的程式,分別寫出這 4 種 Tree traversal 的函式。(24 分)可以自訂一個字元二元樹如圖,並且列印出如下的結果,請寫出需要的 class及主程式。(6 分)
(二)請增加 javascript confirm 對話框中顯示"Are you sure that you like to go to "+ selectedURL +"?"來確認執行。(8 分)